Article
Automated high-throughput measurement of body movements and cardiac activity of Xenopus tropicalis tadpoles
Kay Eckelt1,2, Helena Masanas1,3,4, Artur Llobet3,4* and Pau Gorostiza1,2,5*
1Institute for Bioengineering of Catalonia (IBEC)
2The Biomedical Research Networking Center in Bioengineering, Biomaterials and Nanomedicine (CIBER-BBN)
3Department of Pathology and Experimental Therapeutics, Faculty of Medicine, University of Barcelona
4Bellvitge Biomedical Research Institute (IDIBELL)
5Catalan Institution for Research and Advanced Studies (ICREA)
*Corresponding authors: Artur Llobet, Feixa Llarga s/n, 08907 L’Hospitalet de Llobregat, Spain, Phone: +34-934024279, Email:
allobet@ub.edu and Pau Gorostiza, Baldriri Reixac 15-21, 08028 Barcelona, Spain; Phone: +34-934020208, Email:
pau@icrea.cat
Competing Interests: The authors have declared that no competing interests exist.
Abbreviations used: DMSO, dimethyl sulfoxide; f(h), heart beat frequency; f(bp), buccal pumping frequency; fps, frames per second; dpf, days post fertilization; ROI, region of interest; bpm, beats per minute; px, pixel
Received June 25, 2014; Revision received September 9, 2014; Accepted October 2, 2014; Published November 5, 2014
ABSTRACT Xenopus tadpoles are an emerging model for developmental, genetic and behavioral studies. A small size, optical accessibility of most of their organs, together with a close genetic and structural relationship to humans make them a convenient experimental model. However, there is only a limited toolset available to measure behavior and organ function of these animals at medium or high-throughput. Herein, we describe an imaging-based platform to quantify body and autonomic movements of Xenopus tropicalis tadpoles of advanced developmental stages. Animals alternate periods of quiescence and locomotor movements and display buccal pumping for oxygen uptake from water and rhythmic cardiac movements. We imaged up to 24 animals in parallel and automatically tracked and quantified their movements by using image analysis software. Animal trajectories, moved distances, activity time, buccal pumping rates and heart beat rates were calculated and used to characterize the effects of test compounds. We evaluated the effects of propranolol and atropine, observing a dose-dependent bradycardia and tachycardia, respectively. This imaging and analysis platform is a simple, cost-effective high-throughput in vivo assay system for genetic, toxicological or pharmacological characterizations.

Keywords: Xenopus tropicalis, animal behavior, cardiac imaging, motion analysis, animal tracking, high-throughput in vivo assay
INTRODUCTION
Xenopus frogs are excellent vertebrate model organisms for
in vivo analysis of gene function and are a potential new player for drug discovery and preclinical animal testing
[1]. They share many features with human biology and are easy and cost-effective in experimental use. Fertilization can be performed during the whole year which produces a large number of transparent embryos that are freely swimming within one week at room temperature. Many genetic and molecular tools are available including a draft of the diploid genome of
X. tropicalis that contains approximately 79% orthologs of the human disease genes [
2] as well as advanced methods for gene knock down/knockout or transgenesis
[3–6]. The evolutionary distance and organ structure of these tetrapods displays a closer proximity to humans than other small aquatic vertebrate animal models, such as zebrafish [
7]. An example is the
Xenopus heart which consists of three chambers (two atria, one ventricle) and is therefore more similar to the four-chambered heart of mammals than the two-chambered heart of fish [
8,
9].
Xenopus embryos have been recently established in high-throughput small molecule screenings, testing many compounds for their ability to cause alterations of pigment cell development [
10], development of the blood vascular or lymphatic system [
11] or left-right asymmetry [
12]. The experimental procedures in these studies include bath incubation of the compounds that penetrate through the permeable skin, followed by a visual examination of the animal morphology or analysis of the expression pattern of a marker gene in order to access specific developmental alterations [
13]. Another small molecule screening strategy used fluorescence measurements of living
Xenopus embryos that harbor an eGFP reporter for monitoring thyroid hormone function [
14]. Altogether, these studies demonstrated that
Xenopus animals are suitable for compound screenings in multi-well plates. However, thus far
vertebrate
in vivo screenings for neuroactive or cardiotoxic molecules have been performed with zebrafish embryos. In these studies, compound treated animals were explored by using fully automated systems and/or specialized software for alterations of behavioral patterns
[15–17] or cardiac activity [
18,
19]. One of the major obstacles performing such investigations with
Xenopus tadpoles is the lack of simple and effective high-throughput screening methodologies.
There are several methods to quantify the behavior of
Xenopus tadpoles that include a state-of-the-art system, performing animal tracking analysis during automated training and learning tasks. It has been used for demonstrating the learning abilities of
Xenopus tadpoles
[20–22]. A different approach is provided by the multispecies freshwater biomonitor device (LimCo, Germany) that measures animal behavior through spectral analysis of electrical signals caused by animal movements in a test chamber [
23]. The EthoVision software (Noldus, Information technology) is a commercial animal tracking software that has been applied for tracking tadpoles of distinct frog species in tanks
[24–27]. Due to the relatively large size of tadpoles, the heart beat rates and buccal pumping rates can be measured by visual examination of the animal or from video recordings [
28,
29]. Other approaches for measuring cardiac function of tadpoles include microscope video analysis [
30,
31], microstructural analysis with high-resolution imaging techniques
[32–34] or microelectrode systems [
30,
35,
36]. However, these methodologies access only behavior or cardiac function, but not both and furthermore, they can be expensive or require time consuming experimentations.
Here we present a combined approach for automated animal tracking and motion analysis for in vivo investigations of X. tropicalis tadpoles. We developed a platform for video recording of living tadpoles in multi-well plates that does not require microscope equipment. We also designed software algorithms and experimental procedures for quantitative analysis of locomotor movements, buccal pumping and cardiac activity. The usefulness of the methodologies was verified by i) validation of the automated calculations using manual measurements and ii) examination of in vivo effects of established drug treatments showing agreement with reported results. We conclude that this experimental system provides an attractive platform for cost-effective high-throughput studies.
Figure 1. Video recording of X. tropicalis tadpoles and principles of image analysis. A. The video recording system. Animals in a 24-well plate are transilluminated by a digital monitor and video recorded with a digital camcorder. B. Animal tracking: moving objects (blue) are extracted from background and tracked during the experiment. Right panel: representative distance vs. time plot of motility of a tadpole. C. Motion analysis: animal movements result in dynamic pixels (red). Right panel: motion index profile of the same sequence as in (A) showing the higher sensitivity of motion analysis to small movements. The movements that correspond to the motion profile are labeled. The orange bar indicates the automatically detected locomotor activity episode. D. Cardiac activity: a maximum projection is subtracted from a blurred image. Heart motion results in dynamic pixels (red) that correspond to the dynamic blood-empty regions of the heart. Insets show the amplified heart region. The right panel shows a typical waveform signal of the tadpole heartbeat.
MATERIALS AND METHODS
Animal housing
X. tropicalis embryos (Nasco) were obtained by natural mating and maintained till 3-4 dpf in 0.1 × Marc’s modified Ringer’s (MMR) solution in agarose coated petri dishes (10-15 cm diameter) in a dark incubator (24ºC). Animals were transferred to tanks containing Xenopus water, which was prepared by adding 8 g of instant ocean salt (Instant Ocean) to 20 L of distilled water. Conductivity and pH were 800 µS and 7.4-7.5, respectively. Tadpoles were kept at a density of 30-50 animals L-1, at 25ºC and fed daily with spirulina. All procedures complied with the standards of the ethical commission of the University of Barcelona and the Generalitat of Catalunya.
Treatments
Tadpoles were staged according to Nieuwkoop and Faber [
37]. The pH of water was adjusted to 6.8
-7.2 after addition of drugs.
Behavior assay
Tadpoles were distributed in 24-well plates (diameter: 15.6 mm/well) and water was replaced by 1.2 ml water supplemented with 1% DMSO (dimethyl sulfoxide) as vehicle control of drug assays. One minute duration video recordings, to show basal activity of animals, were obtained after tadpoles were undisturbed on the video recording platform for 30 min.
Cardiac activity assay
Animals were distributed in 24-well plates and water was replaced by 400 µl immobilization solution (0.02% tricaine, Ethyl 3-aminobenzoate methanesulfonate (MS222) in Xenopus water) only, or additionally supplemented with propranolol or atropine (Sigma-Aldrich, Cat no. P0884 and A0132) at the indicated concentrations. When being completely immobile, tadpoles were moved into ventral side up position using a pipette tip. 10 min after addition of drugs, the plate with the animals was video recorded for 15 seconds to access cardiac activity.
Toxicity of tricaine treatment
Tricaine treated animals (n = 28) were transferred into water for recovery and observed 3 days later for abnormalities or death.
Figure 2. Buccal pumping of a X. tropicalis tadpole. A. Image sequence (upper panel) and overlay images with dynamic pixels (lower panel, red pixels) of an animal in lateral position performing one buccal pumping. B. Representative plot of buccal pumping of an untreated animal (DMSO control) during 15 seconds. Every peak corresponds to one cycle of mouth opening and closing shown in (A). C. The corresponding power spectrum signal, showing a main peak at 1.3 Hz that corresponds to the frequency of buccal pumping. D-E. Tricaine treatment abolished buccal pumping. F. Boxplot of buccal pumping rates of control (DMSO) and tricaine treated animals.
Tadpole imaging
The video recording platform (Fig. 1A) was placed in a sparsely illuminated room. Animals were recorded from 1.55 m height with a remote triggered Sony Handycam HDR-CX210 (1920 × 1080/60i , 30 fps). Constant transillumination was applied bottom-up by a digital monitor (DigiFrame 8000 SLT, Braun) displaying a blank image. The video streams were first converted to .mov files (iMovie program, v. 8.0.6) and processed as follows depending on the assay.
For the behavior assay, .mov files were converted into medium resolution image sequences using the QuickTime export function of iMovie (format: 960 × 540 px, 20 frames per second (fps), .tiff, uncompressed, 8-bit grayscale). For cardiac activity assay, .mov files were converted into high-resolution image sequences (format: 1920 × 1080 px, 25 fps, .tiff, uncompressed, 8-bit grayscale) with the MPEG Streamclip converter program (v. 1.9.2).
Image analysis
Image analysis was performed on image sequences with ImageJ macros (v.1.46, [
38]) that loop over a list of regions of interest (ROI’s), namely the circular wells of the multi-well plate (behavior assay) and even-sized ROI’s (area = 535 pixel) placed on the heart regions of the animals (cardiac activity assay).
Behavior assay
The macro for tracking tadpoles was based on the wrMTrck methodology from Jesper S
øndergaard Pedersen. The plugin and a detailed description for animal tracking can be found at: http://www.phage.dk/plugins. Briefly, constant elements were removed from images by subtraction of a maximum projection and images were binarized upon threshold, leaving only dark and moving objects (mainly the intestines of the tadpoles) that were tracked with the wrMTrck plugin (
Fig. 1B). Distances were calculated as distances moved by all tracked objects per well from filtered raw data with filtering parameters set to filter out unspecific movements. Control measurements were performed for 10 second intervals by manual tracking of the estimated center of the animals intestine using the MTrackJ plugin [
39] and compared to their automatic measurements.
The macro for motion analysis performed a frame-to-frame subtraction, starting from the last frame of the image sequence and extracting the dynamic pixels that change intensity above a threshold. Dynamic pixels were then binarized and the mean pixel intensity per ROI area was calculated with the ImageJ Multi-Measure tool (
Fig. 1C). These motion measurements correlate with the number and the size of objects that are in motion and the frequency of the movements. Locomotor activity time was calculated by a roll-apply function (library(zoo)[
40],
window width: 20 frames, quantile-25 > 0) that discriminates motion signatures of tadpoles’ locomotor activity (swimming and tail flickering) from those of quiescent periods. Buccal pumping rates were measured from the main peak in the range 0.2
-2.2 Hz of frequency spectra calculated from motion signal data of 15 second intervals (4 intervals per minute). Therefore, four measurements for each animal where obtained and one was chosen after visual inspection of the plotted data. In a few cases values were corrected manually.
Figure 3. Effect of propranolol and atropine on X. tropicalis cardiac activity. A. Raw image sequence (upper panel) and overlay of processed image with dynamic pixels (lower panel, red pixels) of cardiac activity of a representative tadpole in ventral position. Dashed lines indicate the fully expanded heart area were dynamic pixels occur. B-C. Representative plot of cardiac signals from a tadpole treated with tricaine alone over 15 seconds. (C) The corresponding power spectrum shows a peak at 1.9 Hz that corresponds to the f(h). D-E. Propranolol [1 mM] treatment decreases f(h) and causes arrhythmia, which is characterized by multiple peaks in the power spectra. F-G. Atropine [3 mM] treatment causes tachycardia (f(h) = 2.2 Hz). H. Boxplot showing the distribution of heart beat rates for treatments; tricaine (n = 39), propranolol (n = 20), atropine (n = 19).
Cardiac activity assay
Images were blurred and constant elements were removed by subtracting a maximum projection. Dynamic pixels were binarized above threshold and the mean pixel intensity per ROI area was measured with the ImageJ Multi-Measure tool (Fig. 1D). The highest signals correspond to dynamic blood-empty regions of the beating heart (Fig. 3A, Movie S2). For automated calculation of heart beat rates, a software script was used to filter out low frequencies and to calculate the frequency spectrum of the signal. The heart beat frequency f(h) was measured from the main peak in the range 0.4-2.3 Hz of frequency spectra calculated from heart beat signals of a 15 second period. Very low signal amplitudes indicated cardiac arrest and the f(h) was set to 0. Data were plotted for control and corrected manually if necessary. If cardiac activity of a single animal per treatment group was undetectable, it was removed from analysis.
Statistical analysis
Data calculations, statistical analysis and graphical presentations were performed with custom R scripts (v.2.15.2). Numerical data in the text are represented as mean ± SEM and the differences for each treatment condition relative to controls were assessed separately using a Welch two-sample t-test and a
P-value correction for multiple testing [
41]. Correlation between automated and manual distance measurements was assessed with the R
2 correlation coefficient. Automated and manual locomotor activity time measurements were first classified into four groups, 0
-1 s, 1
-25 s, 25
-50 s, 50
-60 s corresponding to: no activity, moderate activity, high activity and very high activity, respectively. Then, the weighted kappa coefficient (k
w) was calculated to assess the level of agreement between automated and manual measures. Semi-automatic measures of heart beat frequency and frequency of buccal pumping were considered as correct within ± 0.1 Hz compared to manual measurements that were obtained by manual counting from video material.
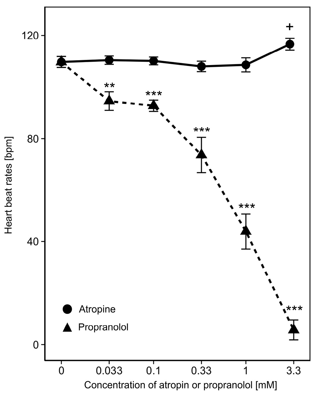
Figure 4. Concentration dependent effect of atropine and propranolol on X. tropicalis cardiac activity. Heart beat rates of tadpoles were measured after 10 min treatment with tricaine alone (control), or additionally supplemented with the indicated concentrations of propranolol or atropine. Control animals and treatments with atropine or propanolol were significantly different as indicated by asterisks, **P < 0.01 and ***P < 0.001 or atropine [3 mM] with + P = 0.068. Tricaine alone (n = 39, 10 independent experiments); atropine, circles and solid line (n = 19 to 20, 5 independent experiments); and propranolol, triangles and dashed line (n = 20, 5 independent experiments).
RESULTS
Platform
We developed a platform for video recording X. tropicalis tadpoles that consists of a digital monitor for transillumination and a digital camcorder that is placed afar of the animals to avoid blind angles around the well edges. We recorded entire 24-well plates containing tadpoles of stage 48-50 that remained healthy and motile under these conditions. Video streams were of sufficient spatial resolution to document tadpole dimensions or estimate the developmental stage and allow observation of small body compartments such as tail, mouth and the heart (Fig. 1-3).
Behavior assay
Video sequences were automatically processed on each well using two distinct image analysis methods: tadpole tracking and motion analysis (Fig. 1B-C; Materials and Methods). The tracking software calculated the moved distances with high accuracy (Table 1). Motion analysis is a frame-to-frame evaluation of the overall motion per well. Analysis of individual animals revealed stereotypical patterns of different motion signal intensities and densities, corresponding to different types of movements that would be otherwise largely unexplored by the tracking method (Fig. 1C, Movie S1). Tadpole activity episodes occurred spontaneously, combining sequences of swimming, or tail flickering while maintaining the xy body position. These activities resulted in signals of high frequency and at different signal intensities depending on the frame-to-frame displacement of the animal. We analyzed body movements of 80 individual tadpoles during 1 minute intervals. On average animals performed locomotor activity during 16 ± 2 seconds (i.e. were mobile during ~27% of imaging time) and moved 76 ± 12 mm. For the remaining ~73% of time, animals remained quiescent and performed autonomic movements characterized by buccal pumping for oxygen uptake from water, which occurred as rhythmic mouth opening and closing (Fig. 2A). Buccal pumping was also seen as back and forth ticking of the animals (Movie S1). Buccal movements occurred as sharp and repeated peaks of low intensity in motion analysis plots (Fig. 2B). The spectral analysis of these periodic signals revealed a main peak corresponding to the animals buccal pumping frequency, from which the buccal pumping rates were calculated (Fig. 2C, Table 1). Measurements from 56 out of 80 tadpoles showed buccal pumping rates between 24 - 120 pumps per minute (Fig. 2F). The remaining 24 tadpoles were not accessible due to continuous locomotor activities that interfered with small buccal pumping signals. In order to validate this method we evaluated tricaine treated animals that are paralyzed and do not ventilate. As expected, no buccal pumping or locomotor signals appeared in motion plots and spectral analysis (Fig. 2D-F), showing that at least such dramatic alteration of tadpole activity can be automatically detected.
Cardiac activity assay
We set a novel cardiac activity assay for processing up to 24 animals in parallel. The methodology was used to measure heart beat rates from tadpoles (Fig. 1D, Materials and Methods). Animals were shortly anesthetized with tricaine (10 min), righted into ventral-up position to make the cardiac system accessible for video recording and automated image analysis for measuring the heart beat rates was performed (Movie S2). 38/40 of tricaine treated X. tropicalis tadpoles showed robust cardiac activity that occurred as waveform signals. Spectral analysis was used to measure the heart beat frequency with high accuracy (Fig. 3, Table 1).
In order to evaluate the usefulness of the cardiac activity assay for pharmacological studies, we compared control animals and animals treated with increasing concentrations of the established chronotropic drugs that cause reduction of cardiac activity (propranolol) or increase cardiac activity (atropine) (Fig. 3-4). Heart beat rates of control animals (tricaine alone) were 109.7 ± 2.1 beats per minute (bpm) and no irreversible effects or dead animals were found when animals were observed 3 days after tricaine washout. The rhythmic heart beat rates seen in control animals were significantly lowered with increasing doses of propranolol. At highest concentrations most animals showed cardiac arrest or slow and arrhythmic heart beats (propranolol [1 mM] = 43.9 ± 6.8 bpm, propranolol [3.3 mM] = 5.7 ± 3.9 bpm, both significantly different to controls with P < 0.001). In contrast, treatment with 3 mM atropine, an antagonist of parasympathetic muscarinic receptors, had the opposite effect and cardiac activity increased to 116.2 ± 2.3 bpm (P = 0.068). Treatment with lower atropine doses did not result in significant differences compared to control animals.
Table 1. Correlation between manual and automated measurements.
|
Distance*
|
auto = 0.94 x manual [cm] + 0.4 [cm] , R2 = 0.99
|
30
|
|
Activity time§
|
kw= 0.95
|
80
|
|
Buccal pumping frequency
|
auto = manual ± 0.1 Hz, 100%
|
51
|
|
Heart beat frequency
|
auto = manual ± 0.1 Hz, 97%
|
144
|
*Distance: the function used to fit the data is presented together with the correlation coefficient R
2. §Activity time: According to the criteria reported by Landis and Koch [
46], the strength of agreement of a weighted kappa coefficient of k
w = 0.95 was “almost perfect”. f(bp) - buccal pumping frequency, f(h) heart beat frequency.
DISCUSSION
Quantitative
in vivo analysis of
Xenopus tadpoles provides an attractive tool for neurological, physiological or eco-toxicological studies. In addition, tadpoles
seem to be an ideal tool for early stages of the drug development process including the identification of novel drug candidates or exclusion of drugs with unfavorable properties [
7]. Such investigations often require the analysis of hundreds or thousands of samples thus raising the need for new high-throughput methodologies for experimentation, monitoring and analysis of tadpoles. Our goal was the development of an effective system that largely fulfils these criteria, and we presented methodologies showing a combination of advantages over existing methods.
First, the experimental approach is based on an advanced model organism with great potential to genetics and pharmacology.
Xenopus tadpoles display a high evolutionary proximity to mammals and good experimental usability. Importantly, we used these animals at pre-metamorphic stages with most of the organs and neuronal structures being developed and functional. These animals are capable of performing complex behavior trials and show learning abilities and social interactions [
21,
22,
26,
27,
42,
43]. Such features are mostly not established in embryos thus, favoring the tadpole model for experiments estimating effects on human health. Besides the advantage of testing an advanced organism, our methods benefit from the favorable animals’ dimensions that permit parallel measurement of body movements and small body compartments without the need for special microscope equipment or genetically modified organisms.
Second, it was possible to obtain multiple readouts. We established protocols for quantitative assessment of tadpole body movements, buccal pumping and heart beat rates by using the same platform. This strategy allows rapid testing of different biological features without the need for multiple equipments. So far these assays could be performed only separately in different setups instead of combined as described here.
Third, we defined a high-throughput assay. Experiments were performed in 24-well plates that allow high-throughput experimentation and permit tadpoles to perform locomotor activities in the well area. However, other plate formats (6 or 12 well) or dishes might be considered in order to overcome spatial restrictions. The cardiac activity assay was performed at a throughput of approximately ~100 animals per hour which is comparable to established high-throughput assays with transgenic zebrafish embryos [
18,
19]. In addition, data analysis protocols were largely automated thus, decreasing processing time and inter-experimental variability. A further increase in throughput might be achieved by optimization of the testing procedure, for example by parallel processing of several multi-well plates.
Fourth, the cost of the experimental system is moderate and it does not require fluorescence microscopy and sensitive CCD cameras. High quality video recordings of tadpoles were obtained by using consumer-imaging equipment and most computer programs are freely available for Windows, Mac and Linux operating systems.
And fifth, the setup is mobile. The platform can be installed and uninstalled quickly and therefore it takes up laboratory space only when being used. In addition, it can be applied to field studies were no energy supply is available by using a battery driven digital screen from a tablet or laptop computer for illumination.
We analyzed tadpole movements by two strategies, animal tracking and motion analysis that are both useful and with several advantages. Tracking of tadpoles by their xy positions allows the extraction of kinetic parameters such as the moved distance that has been shown useful for accessing animals’ motility in behavioral assays [
42]. However, it is insufficient for detection of small movements that occur during buccal pumping or tail flickering. Therefore, we applied motion analysis for quantification of pixel intensity changes due to movements of the animal followed by automated analysis of the signals. This approach allowed us to extract important features such as buccal pumping rates and locomotor activity time. The incorporation of holistic spectral analysis of the motion analysis signals [
45] could enable the automatic detection of many more movement parameters such as tail beat frequencies or temporal patterns of movements. By using tracking and motion analysis, we analyzed basal activity of tadpoles and found that tadpoles in 24-well plates are mainly immobile while performing buccal pumping at variable frequency. This is a direct difference to anesthetized or dead animals, which do not pump and can be identified automatically by this method. We believe that this is a particular useful measurement to perform dose-dependent relationships in toxicological analysis of pollutants. The portability of the system together with the straightforward interpretation of results could make our methodology a valuable tool in field studies.
The tadpole heart is an established model system for
in vivo studies of this organ due to its quick development, optical accessibility and structural similarities to mammalian hearts. We analyzed tadpole cardiac activity with a high-throughput methodology. During the experiments, animals anesthetized for a short and defined incubation time had only small variations in their heartbeats, indicating that this treatment had only moderate effects on tadpole cardiac activity. We validated this methodology and analyzed alterations of cardiac activity that were induced by established drugs. Propranolol is a ß-adrenergic receptor antagonist that slows down heart conduction of mammalian and
Xenopus laevis tadpole hearts [
30]. In agreement with these results,
X. tropicalis tadpoles responded with a decrease of heart beat rates (bradycardia) and showed arrhythmic figures. In contrast, atropine caused an increase of
X. tropicalis heart beat rates (tachycardia) suggesting an interference with the parasympathetic control of cardiac activity [
30]. These observations showed that our cardiac activity assay is a useful tool for high-throughput
in vivo studies relevant to humans, since characteristic pharmacology responses of the human heart are reproduced in
Xenopus.
In summary, we have presented the development and validation of an image-based platform for in vivo analysis of Xenopus tadpoles. We analyzed body movements and cardiac activity at high resolution and high-throughput. The easy implementation and straightforward interpretation of results makes this image-based platform an ideal cost-effective methodology for screening of potential toxins and drugs affecting motor and autonomous nervous system functions.
Acknowledgments
We would like to thank Beatrice Terni for help with natural matings and Sébastien Tosi for critically reviewing the ImageJ Tracking macro. Daniel Cuadras (IDIBELL) for statistical advice, Simone Vitiello for help with the ImageJ macros and Héctor Sanz-García for help with the tadpole experiments. We acknowledge financial support from the RecerCaixa foundation (2010ACUP00378), Fundació La Marató de TV3 (111531), the European Union’s Seventh Framework Programme for research, technological development and demonstration under grant agreements 270483 (Focus), 210355 (Opticalbullet) and 335011 (Theralight), the Catalan government (grant 2014SGR-1251) and the Spanish government (grants CTQ2008-06160, CTQ2013-43892R, SAF2012-36375).
References
- Schmitt SM, Gull M, Brändli AW (2014) Engineering Xenopus embryos for phenotypic drug discovery screening. Adv Drug Deliv Rev 69-70: 225-246. doi: 10.1016/j.addr.2014.02.004. [View Article] [PubMed] [Google Scholar]
- Hellsten U, Harland RM, Gilchrist MJ, Hendrix D, Jurka J, et al. (2010) The genome of the Western clawed frog Xenopus tropicalis. Science 328: 633-636. doi: 10.1126/science.1183670. [View Article] [PubMed] [Google Scholar]
- Khokha MK, Chung C, Bustamante EL, Gaw LWK, Trott KA (2002) Techniques and probes for the study of Xenopus tropicalis development. Dev Dyn Off Publ Am Assoc Anat 225: doi: 10.1002/dvdy.10184. [View Article] [Google Scholar]
- Ogino H, McConnell WB, Grainger RM (2006) High-throughput transgenesis in Xenopus using I-SceI meganuclease. Nat Protoc 1: 1703-1710. doi: 10.1038/nprot.2006.208. [View Article] [PubMed] [Google Scholar]
- Love NR, Thuret R, Chen Y, Ishibashi S, Sabherwal N, et al. (2011) pTransgenesis: a cross-species, modular transgenesis resource. Development 138: 5451-5458. doi: 10.1242/dev.066498. [View Article] [PubMed] [Google Scholar]
- Ishibashi S, Cliffe R, Amaya E (2012) Highly efficient bi-allelic mutation rates using TALENs in Xenopus tropicalis. Biol Open 1: 1273-1276. doi: 10.1242/bio.20123228. [View Article] [PubMed] [Google Scholar]
- Wheeler GN, Brändli AW (2009) Simple vertebrate models for chemical genetics and drug discovery screens: lessons from zebrafish and Xenopus. Dev Dyn 238: 1287-1308. doi: 10.1002/dvdy.21967. [View Article] [PubMed] [Google Scholar]
- Mohun TJ, Leong LM, Weninger WJ, Sparrow DB (2000) The morphology of heart development in Xenopus laevis. Dev Biol 218: 74-88. doi: 10.1006/dbio.1999.9559. [View Article] [PubMed] [Google Scholar]
- Warkman AS, Krieg PA (2006) Xenopus as a model system for vertebrate heart development. Semin Cell Dev Biol 18: 46-53. doi: 10.1016/j.semcdb.2006.11.010. [View Article] [PubMed] [Google Scholar]
- Tomlinson ML, Rejzek M, Fidock M, Field RA, Wheeler GN (2009) Chemical genomics identifies compounds affecting Xenopus laevis pigment cell development. Mol Biosyst 5: 376-384. doi: 10.1039/b818695b. [View Article] [PubMed] [Google Scholar]
- Kälin RE, Bänziger-Tobler NE, Detmar M, Brändli AW (2009) An in vivo chemical library screen in Xenopus tadpoles reveals novel pathways involved in angiogenesis and lymphangiogenesis. Blood 114: 1110-1122. doi: 10.1182/blood-2009-03-211771. [View Article] [PubMed] [Google Scholar]
- Dush MK, McIver AL, Parr MA, Young DD, Fisher J, et al. (2011) Heterotaxin: a TGF-β signaling inhibitor identified in a multi-phenotype profiling screen in Xenopus embryos. Chem Biol 18: 252-263. doi: 10.1016/j.chembiol.2010.12.008. [View Article] [PubMed] [Google Scholar]
- GN. Wheeler, , AE. Hendry, , GN. Wheeler (2012) Chemical Genetics and Drug Discovery in Xenopus. In: Available: Http://link.springer.com/10.1007/978-1-61779-992-1_9. Accessed. In: Hoppler S, Vize PD, editors. Xenopus Protocols. Totowa, NJ: Humana Press, Vol. 917. pp. 155?166. [Google Scholar]
- Fini JB, Le Mével S, Palmier K, Darras VM, Punzon I, et al. (2012) Thyroid hormone signaling in the Xenopus laevis embryo is functional and susceptible to endocrine disruption. Endocrinology 153: 5068-5081. doi: 10.1210/en.2012-1463. [View Article] [PubMed] [Google Scholar]
- Kokel D, Bryan J, Laggner C, White R, Cheung CYJ, et al. (2010) Rapid behavior-based identification of neuroactive small molecules in the zebrafish. Nat Chem Biol 6: 231-237. doi: 10.1038/nchembio.307. [View Article] [PubMed] [Google Scholar]
- Kokel D, Cheung CYJ, Mills R, Coutinho-Budd J, Huang L, et al. (2013) Photochemical activation of TRPA1 channels in neurons and animals. Nat Chem Biol 9: 257-263. doi: 10.1038/nchembio.1183. [View Article] [PubMed] [Google Scholar]
- Rihel J, Prober DA, Arvanites A, Lam K, Zimmerman S, et al. (2010) Zebrafish behavioral profiling links drugs to biological targets and rest/wake regulation. Science 327: 348-351. doi: 10.1126/science.1183090. [View Article] [PubMed] [Google Scholar]
- Burns CG, Milan DJ, Grande EJ, Rottbauer W, MacRae CA, et al. (2005) High-throughput assay for small molecules that modulate zebrafish embryonic heart rate. Nat Chem Biol 1: 263-264. doi: 10.1038/nchembio732. [View Article] [PubMed] [Google Scholar]
- Letamendia A, Quevedo C, Ibarbia I, Virto JM, Holgado O, et al. (2012) Development and validation of an automated high-throughput system for zebrafish in vivo screenings. PLoS One 7: 36690-10. doi: 10.1371/journal.pone.0036690. [View Article] [PubMed] [Google Scholar]
- Blackiston D, Shomrat T, Nicolas CL, Granata C, Levin M (2010) A second-generation device for automated training and quantitative behavior analyses of molecularly-tractable model organisms. PLoS One 5: 14370-10. doi: 10.1371/journal.pone.0014370. [View Article] [PubMed] [Google Scholar]
- Levin M, Levin M (2012) Aversive Training Methods in Xenopus laevis: General Principles. In: . Cold Spring Harb Protoc 2012: pdb.top068338?pdb.top068338; 2012 doi: 10.1101/pdb.top068338. [View Article] [Google Scholar]
- Blackiston DJ, Levin M (2013) Ectopic eyes outside the head in Xenopus tadpoles provide sensory data for light-mediated learning. J Exp Biol 216: 1031-1040. doi: 10.1242/jeb.074963. [View Article] [PubMed] [Google Scholar]
- Schriks M, van Hoorn MK, Faassen EJ, van Dam JW, Murk AJ (2006) Real-time automated measurement of Xenopus leavis tadpole behavior and behavioral responses following triphenyltin exposure using the multispecies freshwater biomonitor (MFB). Aquat Toxicol 77: 298-305. doi: 10.1016/j.aquatox.2005.12.011. [View Article] [PubMed] [Google Scholar]
- Lavorato M, Bernabò I, Crescente A, Denoël M, Tripepi S, et al. (2012) Endosulfan effects on Rana dalmatina tadpoles: quantitative developmental and behavioural analysis. Arch Environ Contam Toxicol 64: 253-262. doi: 10.1007/s00244-012-9819-7. [View Article] [PubMed] [Google Scholar]
- Denoël M, Libon S, Kestemont P, Brasseur C, Focant J, et al. (2012) Effects of a sublethal pesticide exposure on locomotor behavior: a video-tracking analysis in larval amphibians. Chemosphere 90: 945-951. doi: 10.1016/j.chemosphere.2012.06.037. [View Article] [PubMed] [Google Scholar]
- Villinger J, Waldman B (2008) Self-referent MHC type matching in frog tadpoles. Proc Biol Sci 275: 1225-1230. doi: 10.1098/rspb.2008.0022. [View Article] [PubMed] [Google Scholar]
- Villinger J, Waldman B (2012) Social discrimination by quantitative assessment of immunogenetic similarity. Proc Biol Sci 279: 4368-4374. doi: 10.1098/rspb.2012.1279. [View Article] [PubMed] [Google Scholar]
- Feder ME, Wassersug Richard J (1984) Aerial Versus Aquatic Oxygen Consumption in Larvae of the Clawed Frog, Xenopus Laevis. J Exp Biol 108: 231-245.[Google Scholar]
- Ryerson WG, Deban SM (2010) Buccal pumping mechanics of Xenopus laevis tadpoles: effects of biotic and abiotic factors. J Exp Biol 213: 2444-2452. doi: 10.1242/jeb.038976. [View Article] [PubMed] [Google Scholar]
- Bartlett HL, Scholz TD, Lamb FS, Weeks (2004) DL (2004) Characterization of embryonic cardiac pacemaker and atrioventricular conduction physiology in Xenopus laevis using noninvasive imaging. Am J Physiol Heart Circ Physiol 286: 2035-2041.[Google Scholar]
- Hou PC, Burggren WW (1995) Cardiac output and peripheral resistance during larval development in the anuran amphibian Xenopus laevis. Am J Physiol 269: 1126-1132. [PubMed] [Google Scholar]
- Boppart SA, Tearney GJ, Bouma BE, Southern JF, Brezinski ME, et al. (1997) Noninvasive assessment of the developing Xenopus cardiovascular system using optical coherence tomography. Proc Natl Acad Sci U S A 94: 4256-4261. [PubMed] [Google Scholar]
- Yang VXD, Gordon M, Seng-Yue E, Lo S, Qi B, et al. (2003) High speed, wide velocity dynamic range Doppler optical coherence tomography (Part II): Imaging in vivo cardiac dynamics of Xenopus laevis. Opt Express 11: 1650-1658. [PubMed] [Google Scholar]
- Yelin R, Yelin D, Oh W, Yun SH, Boudoux C, et al. (2007) Multimodality optical imaging of embryonic heart microstructure. J Biomed Opt 12: 64021-10. doi: 10.1117/1.2822904. [View Article] [PubMed] [Google Scholar]
- Fritsche R, Burggren W (1996) Development of cardiovascular responses to hypoxia in larvae of the frog Xenopus laevis. Am J Physiol 271: 912-917.[Google Scholar]
- Hou PC, Burggren WW (1995) Blood pressures and heart rate during larval development in the anuran amphibian Xenopus laevis. Am J Physiol 269: 1120-1125. [PubMed] [Google Scholar]
- Nieuwkoop PD, Faber J (n.d.) Normal table of Xenopus laevis (Daudin), 1975. North-Holland Publishing, Amsterdam, The Netherlands.[Google Scholar]
- Schneider CA, Rasband WS, Eliceiri KW (2012) NIH Image to ImageJ: 25 years of image analysis. Nat Methods 9: 671-675. [PubMed] [Google Scholar]
- Meijering E, Dzyubachyk O, Smal I (2012) Methods for cell and particle tracking. Methods Enzymol 504: 183-200. doi: 10.1016/B978-0-12-391857-4.00009-4. [View Article] [PubMed] [Google Scholar]
- Zeileis A, Grothendieck G (2005) zoo: S3 Infrastructure for Regular and Irregular Time Series. J Stat Softw 14: 14-6.[Google Scholar]
- Benjamini Y, Hochberg J (1995) Controlling the False Discovery Rate: A Practical and Powerful Approach to Multiple Testing. J R Stat Soc 57: 10-2307. doi: 10.2307/2346101. [View Article] [Google Scholar]
- Dalton J, Gomez-Santacana X, Eckelt K, Rovira X, Dalton J (2014) 2014) An allosteric modulator to control endogenous G protein-coupled receptors with light; accepted manuscript. Nat Chem Biol. Nat Chem Biol 10: 813-815. doi: 10.1038/NCHEMBIO.1612. [View Article] [PubMed] [Google Scholar]
- Blitz IL, Andelfinger G, Horb ME (2005) Germ layers to organs: using Xenopus to study "later" development. Semin Cell Dev Biol 17: 133-145. doi: 10.1016/j.semcdb.2005.11.002. [View Article] [PubMed] [Google Scholar]
- Dong W, Lee RH, Xu H, Yang S, Pratt KG, et al. (2008) Visual avoidance in Xenopus tadpoles is correlated with the maturation of visual responses in the optic tectum. J Neurophysiol 101: 803-815. doi: 10.1152/jn.90848.2008. [View Article] [PubMed] [Google Scholar]
- Tills O, Bitterli T, Culverhouse P, Spicer JI, Rundle S (2013) A novel application of motion analysis for detecting stress responses in embryos at different stages of development. BMC Bioinformatics 14: 37-1186. doi: 10.1186/1471-2105-14-37. [View Article] [PubMed] [Google Scholar]
- Landis RJ, Koch GG (1977) The Measurement of Observer Agreement for Categorical Data. Biometrics 33: 159-174. [PubMed] [Google Scholar]
Supplementary information
Movie S1.
Behavior assay of a X. tropicalis tadpole. This compressed video sequence shows the raw image sequence and image analysis data of the behavior assay of a tadpole in a 24-well plate. Overlay with data from animal tracking (blue, middle panel) and dynamic pixels from motion analysis (red, right panel) are presented in the upper panel and the corresponding animated plots of the signals are shown in the lower panel. The animal is quiescent while performing buccal pumping (back and forth ticking), and then it performs a locomotor activity episode and returns being quiescence.
Movie S2.
Cardiac activity analysis of a X. tropicalis tadpole. Compressed video sequence showing representative video analysis of the beating heart of an anesthetized tadpole over 5 seconds. Upper left: raw image sequence, Upper right: overlay of the raw image sequence and motion analysis sequence with dynamic pixels (red). Lower panel: animated plot of motion signal.
Supplementary information of this article can be found online at https://www.jbmethods.org.