Measurement of skeletal muscle glucose uptake in mice in response to acute treadmill running
Lisbeth Liliendal Valbjørn Møller1,2‡, Steffen Henning Raun1, 2‡, Andreas Mæchel Fritzen1, Lykke Sylow1,2*
1Department of Nutrition, Exercise and Sports, Faculty of Science, University of Copenhagen, DK-2200 Copenhagen, Denmark
2Department of Biomedical Sciences, Faculty of Medical and Health Sciences, University of Copenhagen, DK-2200 Copenhagen, Denmark
‡These authors contributed equally to this work.
*Corresponding author: Lykke Sylow, Email: Lykkesylow@sund.ku.dk
Competing interests: The authors have declared that no competing interests exist.
Abbreviations: BCA, bicinchoninic acid assay; DPM, disintegrations per minute; ddH2O, double-distilled water; EXE, exercise; i.p., intraperitoneal; PCA, perchloric acid; SA, specific activity; Vmax, maximal running speed; 2DG, 2-deoxy-D-glucose; [3H]-2DG, [1,2-3H] 2-deoxy-D-glucose
Received October 28, 2021; Revision received March 7, 2022; Accepted March 22, 2022; Published August 23, 2022
Abstract
Skeletal muscle contractions stimulate glucose uptake into the working muscles during exercise. Because this signaling pathway is independent of insulin, exercise constitutes an important alternative pathway to increase glucose uptake, also in insulin-resistant muscle. Therefore, much effort is being put into understanding the molecular regulation of exercise-stimulated glucose uptake by skeletal muscle. To delineate the causal molecular mechanisms whereby muscle contraction or exercise regulate glucose uptake, the investigation of genetically manipulated rodents is necessary. Presented here is a modified and optimized protocol assessing exercise-induced muscle glucose uptake in mice in response to acute treadmill running. Using this high-throughput protocol, running capacity can accurately and reproducibly be determined in mice, and basal- and exercise-stimulated skeletal muscle glucose uptake and intracellular signaling can precisely and dose-dependently be measured in awake mice in vivo without the need for catheterization and with minimal loss of blood.
Keywords: AMPK, exercise, glucose uptake, muscle, muscle contraction
BACKGROUND
Skeletal muscle contractions activate several intramuscular signaling pathways that in conjunction increase muscle glucose uptake. Importantly, exercise-stimulated glucose uptake occurs
via insulin-independent mechanisms [
1]. Exercise thereby provides an important alternative to insulin-stimulated muscle glucose uptake, which is relevant in insulin-resistant conditions such as obesity and type 2 diabetes. Elucidating the molecular mechanisms regulating glucose uptake in response to muscle contraction is crucial as it may help identify novel therapeutic targets to optimize glucose uptake in insulin-resistant states. Experiments in humans are limited to explorative studies elucidating mainly associative evidence (such as unbiased exploration of the phosphoproteome in response to acute exercise [
2]). To nail down the mechanisms by which acute exercise regulate glucose uptake in skeletal muscle, human experiments are limited to the use of approved pharmacological inhibitors (with potential off-target effects). Hence, alternative models are needed for the identification of causal mechanisms necessary for this phenomenon.
Conducting research in mice allows for genetic manipulations in muscle. Such studies are necessary for investigating the role of specific proteins and signaling pathways in the regulation of exercise-induced muscle glucose uptake [
3-
5]. Although glucose uptake can be measured
ex vivo in isolated mouse muscle in response to electrically stimulated muscle contractions, this does not fully reflect the complex environment during exercise
in vivo. During exercise
in vivo, tissue glucose uptake depends on several factors, not accounted for
ex vivo. During exercise
in vivo glucose uptake depends upon (1) the muscle plasma membrane permeability (
i.e., the number of glucose transporters in the sarcolemma and transverse tubuli), and (2) the glucose gradient as determined by the interstitial glucose concentration (dependent on blood glucose concentration, blood flow, and microvascular recruitment), and the intramyocellular glucose concentration (dependent on the irreversible conversion of glucose to glucose-6-phosphate by hexokinase and the rapidity of the subsequent downstream intracellular glucose metabolism) [
1].
Previously, exercise-induced muscle glucose uptake in mice has been measured by the use of intravenous administration of a radioactive glucose tracer via a catheter [
6-
8]. While this allows for control over tracer availability and continuous blood glucose measurements, catheterization is at the expense of severely stressing the mice due to the surgery. Additional disadvantages of catheterization are metabolic disturbances due to weight loss/regain, and potential impairment of exercise tolerance due to the catheter. Moreover, this technique is arduous and is not easily applied to large-scale studies. Finally, the intravenous administration of a bolus of a radioactive glucose tracer at the onset of exercise results in tracer activity declining with time. That is suboptimal because muscle glucose uptake increases with time during exercise. Hence, differences in glucose uptake at the onset of exercise may be exaggerated, while smaller differences at the end of the exercise bout may be difficult to detect. Therefore, more recent studies have measured exercise-induced muscle glucose uptake without using catheterization of mice and instead after intraperitoneal administration of a radioactive glucose tracer resulting in delayed blood appearance [
7,
9,
10]. Such protocol can be utilized with minimal delays between mice, making it amenable to assessing exercise-induced glucose uptake in larger cohorts of mice.
A high resolution of tracer appearance is crucial for determining tissue glucose uptake precisely. However, the measurement of tracer appearance in plasma requires 35 µl blood/time point. Thus, measuring tracer appearance one or several times during and at the end of the exercise bout causes a massive loss of blood (
i.e., stress) and long breaks during the exercise bout [
6,
7,
9,
10]. To minimize blood loss and the disruptions during running, alternative protocols have emerged with measurement of plasma tracer availability only at the end of the exercise bout [
11]. Yet, this is at the expense of controlling for the time course of tracer appearance during exercise. A summary of various protocols for measuring exercise-induced muscle glucose uptake is included in
Table 1.
To overcome these issues, we here describe a modified and optimized protocol for the determination of exercise-induced muscle glucose uptake in live non-catheterized mice during acute treadmill running with minimal blood loss. To minimize the stress (due to loss of blood and handling time), both glucose concentration and tracer appearance are measured directly in the blood (using < 6 µl blood/time point) and not plasma. To provide a better resolution of blood glucose and tracer appearance during 20 min of treadmill running, those measurements are performed at time points 0, 5, 10 and 20 min of the experimental protocol.
Table 1. Overview of blood sampling in selected studies investigating exercise-induced glucose uptake in mouse skeletal muscle by administration of a radioactive glucose tracer.
|
|
|
|
|
|
|
|
Catheterized infusion
|
|
t = 0 min*
|
- Blood glucose
- Plasma [3H]-2DG
|
|
[8]
|
+ + + +
|
+
|
|
t = 5 min
|
- Blood glucose
- Plasma [3H]-2DG
|
- t = 0, 10, 15, 20 and 30 min
- t = 5, 10, 15, 20 and 30 min
|
[6]
|
+
|
+ + + +
|
|
t = 10 min
|
- Plasma glucose
- Plasma [3H]-2DG
|
- t = −5, 15, 20 and 25 min
- t = 15, 20 and 25 min
|
[7]
|
+ +
|
+ + +
|
|
Intraperitoneal administration
|
|
t = 0 min
|
- Plasma glucose
- Plasma [3H]-2DG
|
- t = −2, 15, and 30 min
- t = −2, 15, and 30 min
|
[7]
|
+ +
|
+ +
|
|
t = 0 min
|
- Plasma glucose
- Plasma [3H]-2DG
|
- t = −2, 10, and 20 min
- t = −2, 10, and 20 min
|
[9]
|
+ +
|
+ +
|
|
t = -20 min
|
- Blood glucose
- Blood [3H]-2DG**
|
- t = 0 and 34 min
- t = 0 and 34 min
|
[12]
|
+ + +
|
+ +
|
|
t = 0 min
|
- Blood glucose
- Plasma [3H]-2DG
|
- t = 0, 10, and 20 min
- t = 10, and 20 min
|
[10]
|
+ + +
|
+ +
|
|
t = 0 min
|
- Blood glucose
- Plasma [3H]-2DG
|
- t = 0 and 20 min
- t = 20 min
|
[11]
|
+ + + +
|
+
|
|
t = 0 min
|
- Blood glucose
- Blood [3H]-2DG
|
- t = 0, 5, 10 and 20 min
- t = 5, 10 and 20 min
|
Current study
|
+ + + +
|
+ + +
|
*t = 0 min defined as the start of treadmill running; **Measured in 25 µl blood.
MATERIALS
Animals
Mature mice: In the current study, female C57BL/6JBomTac mice (12 weeks old) were obtained from Taconic (Denmark) and allowed to acclimatize for > 1 week prior to the start of the study. The mice were maintained on a 12:12 h light-dark cycle and housed at 22°C (with allowed fluctuation of ± 2°C) with nesting material. The mice were group-housed 6–8 mice per cage and received a standard rodent chow diet (Altromin # 1324; Brogaarden, Denmark) and water ad libitum. The experiments were performed at 10–12 AM.
The animal experiments complied with the European Convention for the protection of vertebrate animals used for experimental and other scientific purposes (No. 123, Strasbourg, France, 1985; EU Directive 2010/63/EU for animal experiments) and were approved by the Danish Animal Experimental Inspectorate (License: 2015-15-0201-00477).
NOTE: Ensure that animal experiments are approved by the local ethics committee. If using knockout/transgenic lines for genes of interest, we recommend using sex-matched littermate controls.
Chemicals/reagents/others
- Surgical scissors and forceps
- Gauze
- Blood glucometer (Bayer Contour, Switzerland)
- Glucose test strips (Bayer Contour, Switzerland)
- Scale (0.1 g intervals)
- 1 ml disposable syringes
- 27G needle
- Saline
- [1,2-3H] 2-Deoxy-D-glucose ([3H]-2DG) (PerkinElmer, Cat. # NET549A)
- 2-Deoxy-D-glucose (2DG) (Sigma-Aldrich, Cat. # D8375)
- Pergamon weighing paper
- Pipettes (P10, P200, P1000)
- Pipette tips
- Mini scintillation vial with screw cap (6 ml) (Sarstedt, Inc. Cat. # 73.680)
- Ultima Gold liquid scintillation cocktail (PerkinElmer, Cat. # 6013329)
- 0.5 ml, 1.5 ml and 2.0 ml Eppendorf tubes
- Liquid nitrogen
- Dry ice
- Flat nose smooth jaw pliers
- Medicine cup (30 ml, plastic)
- Styrofoam container
- 0.1N NaOH (VWR Chemicals, Cat. # 31770.294)
- 0.1N HCl (VWR Chemicals, Cat. # 31955.293)
- 70% perchloric acid (Merck) (PCA, 1:4 v/v)
- 0.3M BaOH (Sigma-Aldrich, Cat. # B4059) and 0.3M ZnSO4 (Sigma-Aldrich, Cat. # Z2876) (1:2:2 v/v/v)
- MG buffer used for homogenization of muscle tissue
- 10% glycerol (Sigma-Aldrich, Cat. # G7757)
- 20 mM Na-pyrophosphate (Sigma-Aldrich, Cat. # 221368)
- 150 mM NaCl (Supelco, Cat. # 106404.1000)
- 50 mM HEPES (pH 7.5) (Sigma-Aldrich, Cat. # H7637)
- 1% NP-40 (Sigma-Aldrich, discontinued—As an alternative use IGEPAL CA-630)
- 20 mM β-glycerophosphate (Sigma-Aldrich, Cat. # G9422)
- 10 mM NaF (Sigma-Aldrich, Cat. # S1504)
- 1 mM EDTA (pH 8.0) (Sigma-Aldrich, Cat. # EDS)
- 1 mM EGTA (pH 8.0) (Sigma-Aldrich, Cat. # E4378)
- 2 mM PMSF (Sigma-Aldrich, Cat. # P7626)
- 10 µg/ml Aprotinin (Sigma-Aldrich, Cat. # A1153)
- 10 µg/ml Leupeptin (Sigma-Aldrich, Cat. # L2884)
- 2 mM Na3VO4 (Sigma-Aldrich, Cat. # S6508)
- 3 mM Benzamidine (Sigma-Aldrich, Cat. # B6506)
- Double-distilled water (ddH2O)
- Bicinchoninic acid assay (BCA) protein assay kit (Thermo Scientific, Cat. # 23225)
- Antibodies
- pAMPKα T172 (Cell Signaling Technology Cat. # 2535, RRID:AB_331250; 1:1000 in 2% skimmed milk; 15 µg protein loaded)
- AMPKα2 (Abcam Cat. # ab3760, RRID:AB_304055; 1:1000 in 2% skimmed milk; 15 µg protein loaded)
- p-p38MAPK T180/Y182 (Cell Signaling Technology Cat. # 9211, RRID:AB_331641; 1:1000 in 3% bovine serum albumin; 10 µg protein loaded)
- p38MAPK (Cell Signaling Technology Cat. # 9212, RRID:AB_330713; 1:1000 in 2% skimmed milk; 10 µg protein loaded)
- Coomassie Brilliant Blue G (Sigma-Aldrich, Cat. #B0770)
Equipment
- Treadmills (TSE Systems, 303401 series)
- Centrifuge (Hettich zentrifugen, Universal 320R)
- Scintillation Counter (Packard Tri Carb, Packard Instruments Model 2000)
- Block heaters (Fisherbrand Isotemp)
- ABX Penta c400 (Horiba ABX SAS)
- Qiagen Tissue Lyser II (RRID:SCR_018623) + steel beads
- General rotator (Stuart, STR4)
Software
- TSE PhenoMaster System (TSE Systems, v5.3.0)
- Microsoft Excel (RRID:SCR_016137), SigmaPlot (RRID:SCR_003210), GraphPad Prism (RRID:SCR_002798) or similar
PROCEDURE
Treadmill acclimatization
1.Acclimatize all mice, also those to be included as resting controls, to the treadmill by having them run at 10 m/min for 10 min (15 incline) on three consecutive days.
TIP: The last day of acclimatization should preferably be a couple of days before the maximal running capacity test to minimize the stress put on the mice and the acclimatization affecting the experimental day.
Maximal running capacity test
2.The maximal running capacity test should be carried out on mice in the fed state at least one week prior to the acute treadmill running experiment.
3.Place mice from different experimental groups in randomized order on the available treadmills.
CAUTION: At least one researcher should be blinded for the order of the mice.
4.Let the mice warm up for 5 min at 10 m/min (15 incline) and then gradually increase the speed of the treadmill by 1.2 m/min every minute until exhaustion (Fig. 1A).
5.Exhaustion is determined by the mouse's inability to keep up with the set speed and sitting on the grid for 5 s even after attempts of the researcher to motivate further running using an air gun or gently pushing the mouse forward and away from the grid.
6.Exhaustion should be determined by the blinded researcher, and it should be the same person calling out all the mice in one test and all experiments in the same project. The reproducibility of the determination of the maximal running speed in mice is shown in Fig. 1B.
NOTE: To indirectly evaluate the reliance on anaerobic glycolysis for energy production during the maximal running capacity test in distinct experimental groups, two blood samples can be drawn from the tail 1 h prior to the test for blood glucose and blood lactate measurements and then again immediately after reaching the maximal running speed.
7.Depending on the experimental aim, the maximal running speed for each individual mouse or an average for the experimental group can be used during the acute treadmill running experiment.
TIP: Running capacity should be performed at approximately the same time of the day as the terminal experiment will be performed.
Exercise-induced muscle glucose uptake in response to acute treadmill running
8.In fed mice, take a baseline blood sample for blood glucose measurement (Fig. 1C).
TIP: The time of the day the experiment is performed should preferably be standardized to control for differences in eating behavior and daily rhythm up to the experiment.
9.Determine mouse weight.
10.Allow the mice to rest for 1 h before the experiment. This resting period also allows blood coagulation in the tail wound to occur.
11.Using an intraperitoneal injection (1 ml syringe with 27G needle), administer a bolus of saline containing 0.1 mM 2DG and 50 μCi/ml [3H]-2DG (~32.4 Ci/mmol) corresponding to 11 μCi/mouse on average in the current study (10 μl/g body weight).
NOTE: Non-radioactive 2DG is added to further increase the 2DG concentration gradient across the muscle plasma membrane.
NOTE: Use of radioactive material should be performed following local guidelines and regulations. This includes the use of appropriate protective equipment, safe work practices, cleaning of workspaces after experiments and waste disposal.
12.Place the mouse on a treadmill and have it run at the wanted workload for 20 min (15° incline). Resting mice are placed on a still treadmill for 20 min.
In the current study, mice ran at either 50% or 70% of the average maximal running speed compared to control mice on a still treadmill.
CAUTION: It is recommended that resting mice are placed on a still treadmill and not in their home cage, as the stress in response to placement on the treadmill itself can activate stress signaling pathways.
NOTE: If the maximal running capacity differs between experimental groups, the mice can run either at the same absolute speed or same relative intensity depending on your experimental aim.
13.At time point 5, 10, and 20 min, draw two blood samples from the tip of the tail to determine blood glucose concentration and transfer 4 µl blood to scintillation vials containing 3.5 ml scintillation fluid. Immediately shake the scintillation vial well.
TIP: Place one drop of blood on pergamon weighing paper and use a pipette to transfer 4 µl to the scintillation vials.
14.At the 20 min time point, immediately euthanize the mouse by cervical dislocation, remove the skeletal muscle of interest (e.g., soleus muscle, gastrocnemius muscle, quadriceps muscle), quickly rinse in ice-cold saline and snap freeze. Transfer to 2 ml Eppendorf safe-lock tubes in liquid nitrogen. Store at −80°C until further processing.
CAUTION: Be careful not to stretch the muscles when dissecting them, as the stretch can activate intracellular signaling pathways [
13,
14]
that could produce misleading results.
Figure 1. Determination of maximal running capacity and treadmill running-induced muscle glucose uptake in mice. A. Schematic of the protocol for determination of maximal running capacity. After the warm-up, the exercise (EXE) speed of the treadmill (15° incline) is gradually increased by 1.2 m/min every minute until exhaustion at time point x. B. Reproducibility of the maximal running capacity test. Pearson’s correlation between the maximal running speed (Vmax) at two separate tests nine days apart. The number of mice, n = 50. C. Schematic of the protocol for determination of treadmill running-induced muscle glucose uptake in mice by intraperitoneal (i.p.) administration of a radioactive glucose tracer. Illustrations created with Biorender.
15.If applicable, collect blood by punctuation of the heart (handle the blood carefully to avoid hemolysis), spin down blood and snap freeze plasma in liquid nitrogen. Store at −80°C until further processing.
Measurement of blood [3H]-2DG appearance
16.To measure [3H]-2DG appearance in the blood, shake the scintillation vials containing 4 µl blood thoroughly and measure [3H] disintegrations per minute (DPM) in each sample using a liquid scintillation counter.
Measurement of [3H]-2DG tissue uptake
The biochemical properties of 2DG make the molecule suitable for the measurement of tissue-specific glucose uptake in tissues with low glucose-6-phosphatase activity (
e.g., skeletal muscle [
15]) (
Fig. 2A). In skeletal muscle, transport of glucose and 2DG across the plasma membrane is carried out by the same GLUTs. Once inside the muscle, 2DG like glucose is phosphorylated by hexokinase. However, whereas glucose-6-phosphate will be further metabolized, 2DG-6-phosphate will either accumulate or be incorporated into glycogen [
16]. Thereby, the analysis of [
3H]-2DG accumulation inside the muscle cells can be used as a measure of glucose uptake.
This technique was first validated for the
in vivo study of glucose utilization in the brain [
17] and later modified to also study the utilization of glucose in skeletal muscle and adipose tissue
in vivo [
18]. Below a protocol for analysis of tissue-specific [
3H]-2DG uptake is presented essentially as described in [
6,
18] with minor modifications.
17.To measure [3H]-2DG uptake in the muscles of interest, pulverize tissue with a flat nose smooth jaw pliers in a liquid nitrogen-filled medicine cup immersed in liquid nitrogen in a Styrofoam container and, while the tissues are maintained frozen, weigh out an aliquot of powder for analysis. Smaller muscles, such as the soleus and EDL muscles do not require powdering.
TIP: Preferably, use 15–20 mg muscle tissue for analysis. For smaller muscles such as the soleus and EDL, preferably use the whole muscle (however, you can go down until as little as 4 mg muscle).
18.Incubate the samples at 96°C in 200 µl 0.1N NaOH until completely dissolved (approximately 30 min). Mix now and then.
19.The homogenate is neutralized by adding 200 µl 0.1N HCl to the sample.
20.In a 1.5 ml Eppendorf tube, mix 150 µl of the homogenate with 600 μl 4.6% perchloric acid (PCA, 1:4 v/v) and lyse by centrifugation at 18320 × g for 4 min at 4oC.
21.Transfer 600 µl supernatant to scintillation vials containing 4 ml Ultima Gold. Vortex the vials thoroughly and measure [3H] DPM in each sample using a liquid scintillation counter.
NOTE: Both [3H]-labeled 2DG-6-phosphate ([3H]-2DG-6P) and [3H]-2DG are soluble in PCA. Hence, they will both appear in the lysate and the [3H] DPM in the supernatant determined by liquid scintillation counting is the sum of the two.
22.To measure [3H]-2DG, mix 150 μl homogenate with 300 μl 0.3M BaOH and 300 µl 0.3M ZnSO4 (1:2:2 v/v/v) in a 1.5 ml Eppendorf tube. Centrifuge at 18320 × g for 4 min at 4oC.
23.Transfer 600 µl supernatant to scintillation vials containing 4 ml Ultima Gold. Vortex the vials thoroughly and measure [3H] DPM in each sample using a liquid scintillation counter.
NOTE: Centrifugation at 18320
× g for 4 min leads to the formation of BaSO
4 (+Zn(OH)) precipitate containing [
3H]-2DG-6P) as well as[
3H]-2DG incorporated into glycogen [
16,
19]. Thus, [
3H] DPM in this supernatant reflects [
3H]-2DG not taken up by the muscle cell.
Measurement of muscle glycogen concentration
24.To measure glycogen concentration in the muscle of interest, weigh out 15–20 mg muscle tissue for analysis. Prepare in 1.5 ml Eppendorf tubes.
25.Incubate the samples for 2 h at 98°C in a heating block with 400 µl 1N HCl to hydrolyze the glycogen polymers to glucose.
TIP: Include a mouse muscle glycogen control at each run as a positive control.
26.After 1 h, mix samples gently.
27.After 2 h, mix samples gently.
NOTE: Store in the refrigerator if they are analyzed within a week otherwise they must be stored in the freezer.
28.Determine muscle glycogen concentration as glycosyl units in the samples fluorometrically (we have used Pentra 400, 340 nm).
Immunoblot preparation
29.For western blotting analysis, weigh out 15–20 mg muscle tissue in 2 ml Eppendorf tubes. For smaller muscles such as the soleus and EDL, preferably use the whole muscle (however, you can go down to as little as a few mg muscle tissue).
30.Add ice-cold MG buffer (1:20 mg tissue:µl MG buffer) rapidly to the tubes and immediately homogenize with steel balls using the tissuelyser (30 Hz, 30 s).
Figure 2. Measurement of muscle-specific [3H]-2DG uptake. A. Schematic of the measurement of muscle-specific [3H]-2DG uptake (Created with Biorender). B. Blood [3H]-2DG appearance at time points 0, 5, 10 and 20 min during acute treadmill running at 50% (EXE50%) or 70% (EXE70%) of the maximal running speed compared to control mice on a still treadmill. The number of mice in each group: Control, n = 6; EXE50%, n = 8; EXE70%, n = 9. Data were evaluated with a two-way repeated measures (RM) ANOVA. C. Weighted average for blood [3H]-2DG appearance in panel (B). Data were evaluated with a one-way ANOVA. D. Blood [3H]-2DG appearance in two resting chow-fed female mice in the first 10 min following an intraperitoneal (i.p.) injection with [3H]-2DG. E. Blood glucose concentrations at time points 0, 5, 10 and 20 min during acute treadmill running at 50% (EXE50%) or 70% (EXE70%) the maximal running speed compared to control mice on a still treadmill. The number of mice in each group: Control, n = 6; EXE50%, n = 8; EXE70%, n = 9. Data were evaluated with a two-way RM ANOVA. F. Blood glucose (from panel G) related to time point 0’. G. Weighted average of blood glucose in the 20 min following i.p. administration of [3H]-2DG. Data were evaluated with a one-way ANOVA. Main effects are indicated in the panels. Significant one-way ANOVA or significant interaction in two-way RM ANOVA evaluated by a Tukey’s post hoc test: Different from time point 0’ */**/*** (P < 0.05/0.01/0.001); Control vs. EXE70% $/$$ (P < 0.05/0.01); EXE50% vs. EXE70% §/§§/§§§ (P < 0.05/0.01/0.001). Data are presented as mean ± S.E.M. or when applicable mean ± S.E.M. with individual data points shown. Paired data points are connected with a straight line.
31.Rotate end-over-end for at least ½ h at 4°C.
32.Centrifuge at 10854 × g for 20 min at 4°C.
33.Gently remove the tubes from the centrifuge, place them on ice and transfer the supernatant to 0.5 ml Eppendorf tubes.
34.Determine protein concentration using the BCA method.
35.Prepare samples for immunoblotting as per standard protocol. Use phospho-specific antibodies against exercise-responsive signaling molecules (e.g., pAMPKα T172, p-p38MAPK T180/Y182).
36.Use Coomassie brilliant blue staining or a similar staining as a loading control.
DATA ANALYSIS
The calculation of tissue-specific glucose uptake is essentially as described in [
6] with minor modifications. An example of the calculations described below can be found in the supplement file.
2DG clearance from the blood
1.Calculate the tissue-specific DPM counts as the net [3H]-2DG-6-P accumulation in the muscle tissue by subtracting [3H]-2DG DPM counts measured in the supernatant of the BaSO4 precipitate from the [3H]-2DG + [3H]-2DG-6-P DPM counts measured in the PCA supernatant (Fig. 2A).

(Eqn. 1)
2.Relate the net [3H]-2DG-6-P to mg tissue analyzed and to the 20 min experimental period to get [3H]-2DG-6-P DPM/g/min.
CAUTION: Remember to account for dilution factors in the calculation.

(Eqn. 2)
3.Extrapolate blood [3H]-2DG DPM per 4 µl to 1 ml to yield blood [3H]-2DG DPM/ml.
NOTE: It is important to check whether tracer appearance is similar between groups because a higher [3H]-2DG availability per se could result in an increased uptake of [3H]-2DG. Therefore, a difference in tracer availability between groups should be taken into account in the interpretation of the data (Fig. 2B). Here we have evaluated [3H]-2DG availability as weighted average (Fig.2C).

(Eqn. 3)
4.Calculate the time-weighted average of blood [3H]-2DG appearance.
TIP: Assuming that blood [3H]-2DG appearance is increasing linearly in the first 5 min after intraperitoneal injection, a value of 0 DPMml at time 0 should be included in the weighted average (Fig. 2D).

(Eqn. 4)
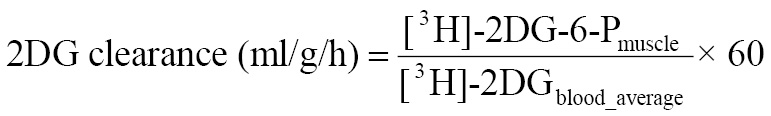
5.Normalize tissue-specific DPMs to the time-weighted average of blood [3H]-2DG appearance to calculate the proportion of available [3H]-2DG cleared from the blood into the tissue (glucose clearance, Fig. 3B). Data should be expressed per unit weight of the analyzed tissue and per hour (ml/g/h).

(Eqn. 5)
NOTE: This calculation assumes that the [3H]-2DG tracer measured by a tail bleed is indicative of the tracer available in the interstitial space for uptake into the tissue.
Glucose uptake index
6.Calculate the time-weighted average of blood glucose during the experimental period (Fig. 2E-2G).

(Eqn. 6)
7.Calculate the specific activity (SA) of [3H]-2DG in the blood as the ratio between the time-weighted average of blood [3H]-2DG appearance and the weighted average of blood glucose.

(Eqn. 7)
8.Calculate an approximation of glucose uptake by calculating the glucose uptake index as the ratio between tissue-specific DPMs and SA. Data should be expressed per unit weight of the analyzed tissue and per hour (µmol/g/h).

(Eqn. 8)
NOTE: This calculation assumes that there is no discrimination between [3H]-2DG and glucose at the glucose transport step and therefore the rate of [3H]-2DG accumulation in tissue is equivalent to the rate of glucose uptake into tissue [18]. A correction factor to adjust for slightly different affinities of glucose and [3H]-2DG for GLUTs and hexokinase, has been reported to be 0.95 in basal and insulin-stimulated rat muscle [18]. To our knowledge, such a correction factor has not been determined in mouse muscle in the setting of exercise and therefore cannot be applied. The glucose uptake index should therefore be interpreted as an approximation of glucose uptake.
Glycogen concentration
9.Relate the net glycogen concentration to mg tissue analyzed to get glycosyl units in µmol/g wet weight muscle.
CAUTION: Remember to account for dilution factors in the calculation.
Statistical analyses
Data are presented as mean ± S.E.M. or when applicable mean ± S.E.M. with individual data points shown. Statistical tests varied according to the dataset being analyzed and the specific tests used are indicated in the figure legends and the supplemental statistical summary table (
File S1; inspired by [
20]). Datasets were normalized by square root transformation if not following Gaussian distribution or failed equal variance test. If the null hypothesis was rejected, Tukey’s post hoc test was used to evaluate significant differences in one-way ANOVAs and significant interactions in two-way ANOVAs.
P < 0.05 was considered statistically significant.
P < 0.1 was considered a tendency. All statistical analyses were performed using Sigma Plot, version 13 (Systat Software Inc.; RRID:SCR_003210).
ANTICIPATED RESULTS
In the current study, exercise-induced muscle glucose uptake was measured in mice during acute treadmill running at 50% or 70% of the maximal running speed and compared to control mice on a still treadmill. Our protocol was highly sensitive since it detected intensity-dependent increases in glucose uptake index and 2DG clearance (Fig. 3A and 3B) and a decrease in muscle glycogen concentration following exercise (Fig. 3C). In a similar intensity-dependent manner, phosphorylation of AMPKα T172 (a marker of metabolic stress; Fig. 3D) increased in the investigated muscles. Phosphorylation of p38MAPK Y180/Y182, a marker of mechanical stress, was also upregulated by exercise in soleus and quadriceps muscle, although not intensity-dependent (Fig. 3E). The observed differences between the investigated muscles are likely due to differential recruitment and fiber type composition of the working muscles activated during treadmill running.
In conclusion, using this protocol we accurately and reproducibly determined running capacity in mice. Furthermore, basal- and exercise-stimulated skeletal muscle glucose uptake and intracellular signaling were precisely and dose-dependently measured in living mice without the need for catheterization using this high-throughput protocol with minimal loss of blood (up to 30 mice is taking 5 h (10 min/mouse, given that 2 mice can be on a treadmill at the same time if multiple treadmills are available)). We used female mice, and thus the absolute values might be different for male mice.
TROUBLESHOOTING
A critical factor for the success of the protocol is the willingness of the mice to co-operate. Generally, mice like to run and by acclimatizing the mice to the treadmill the stress in response to placement on the treadmill itself should be minimized. Thus, the majority of mice will be able to complete the running protocol. However, occasionally you will experience mice not being able to complete the running protocol and therefore they will have to be excluded from the experiment. Additional acclimatization to the treadmills can be performed before the experiment, if the mice are deemed poor runners.
Should a given transgenic model or intervention influence running capacity, we recommend to include two different intensities for that group, one matched by the same relative intensity to the WT littermate controls and one matched to the same absolute intensity.
Additionally, in order to be able to evaluate the exercise-response on glucose uptake and intracellular signaling, it is important that resting mice are placed on a still treadmill and not in their home cage, as the stress in response to placement on the treadmill itself can activate stress signaling pathways.
Figure 3. Skeletal muscle glucose uptake in mice during treadmill running. A and B. Glucose uptake index (A) and 2DG clearance (B) in soleus, gastrocnemius, and quadriceps muscle in response to acute treadmill running at 50% (EXE50%) or 70% (EXE70%) of the maximal running speed compared to control mice on a still treadmill. C. Muscle glycogen measured as glycosyl units per wet weight gastrocnemius or quadriceps muscle following acute treadmill running at EXE50% or EXE70% compared to control mice on a still treadmill. D and E. Phosphorylation of (p)-AMPKα T172 (D) and p-p38MAPK T180/Y182 (E) in soleus, gastrocnemius and quadriceps muscle in response to acute treadmill running at EXE50% or EXE70% compared to control mice on a still treadmill. F. Representative blots showing pAMPKα T١٧٢, AMPKα٢, p-p٣٨MAPK T١٨٠/Y١٨٢, p٣٨MAPK, and coomassie staining as a loading control. The number of mice in each group: Control, n = 6; EXE50%, n = 8; EXE70%, n = 9. Data were evaluated with a one-way ANOVA. Significant one-way ANOVA evaluated by a Tukey’s post hoc test: Different from control (#)/#/##/###, P < 0.1/0.05/0.01/0.001; EXE50% vs. EXE70% (§)/§/§§/§§§, P < 0.1/0.05/0.01/0.001. Data are presented as mean ± S.E.M. with individual data points shown.
Acknowledgments
We thank our colleagues, in particular Erik A. Richter, Department of Nutrition, Exercise, and Sports (NEXS), Faculty of Science, University of Copenhagen, for fruitful discussions on this topic. We acknowledge the skilled technical assistance of Betina Bolmgren and Irene B. Nielsen (NEXS, Faculty of Science, University of Copenhagen), as well as Mona Sadek Ali (Department of Biomedical Sciences, Faculty of Medical and Health Sciences, University of Copenhagen, Copenhagen, Denmark). This study was supported by a PhD fellowship and postdoctoral fellowship from The Lundbeck Foundation (grant 2015-3388 and R322-2019-2688 to LLVM); a postdoctoral fellowship from the Danish Diabetes Academy (grant NNF17SA0031406 to AMF), which was funded by the Novo Nordisk Foundation; The Danish Council for Independent Research, Medical Sciences (grant DFF-4004-00233 to LS); The Novo Nordisk Foundation (grant NNF16OC0023418 and NNF18OC0032082 to LS).
References
- Sylow L, Kleinert M, Richter EA, Jensen TE. Exercise-stimulated glucose uptake - regulation and implications for glycaemic control. Nat Rev Endocrinol. 2017 Mar;13(3):133–48. https://doi.org/10.1038/nrendo.2016.162 PMID: 27739515
- Hoffman NJ, Parker BL, Chaudhuri R, Fisher-Wellman KH, Kleinert M, Humphrey SJ, et al. Global Phosphoproteomic Analysis of Human Skeletal Muscle Reveals a Network of Exercise-Regulated Kinases and AMPK Substrates. Cell Metab. 2015 Nov;22(5):922–35. https://doi.org/10.1016/j.cmet.2015.09.001 PMID: 26437602
- Wang D, Zhong L, Nahid MA, Gao G. The potential of adeno-associated viral vectors for gene delivery to muscle tissue. Expert Opin Drug Deliv. 2014 Mar;11(3):345–64. https://doi.org/10.1517/17425247.2014.871258 PMID: 24386892
- Bengtsson NE, Hall JK, Odom GL, Phelps MP, Andrus CR, Hawkins RD, et al. Muscle-specific CRISPR/Cas9 dystrophin gene editing ameliorates pathophysiology in a mouse model for Duchenne muscular dystrophy. Nat Commun. 2017 Feb;8(1):14454. https://doi.org/10.1038/ncomms14454 PMID: 28195574
- Gurumurthy CB, Lloyd KC. Generating mouse models for biomedical research: technological advances. Dis Model Mech. 2019 Jan;12(1):dmm029462. https://doi.org/10.1242/dmm.029462 PMID: 30626588
- Fueger PT, Bracy DP, Malabanan CM, Pencek RR, Wasserman DH. Distributed control of glucose uptake by working muscles of conscious mice: roles of transport and phosphorylation. Am J Physiol Endocrinol Metab. 2004 Jan;286(1):E77–84. https://doi.org/10.1152/ajpendo.00309.2003 PMID: 13129858
- Maarbjerg SJ, Jørgensen SB, Rose AJ, Jeppesen J, Jensen TE, Treebak JT, et al. Genetic impairment of AMPKalpha2 signaling does not reduce muscle glucose uptake during treadmill exercise in mice. Am J Physiol Endocrinol Metab. 2009 Oct;297(4):E924–34. https://doi.org/10.1152/ajpendo.90653.2008 PMID: 19654283
- Halseth AE, Bracy DP, Wasserman DH. Overexpression of hexokinase II increases insulinand exercise-stimulated muscle glucose uptake in vivo. Am J Physiol. 1999 Jan;276(1):E70–7. https://doi.org/10.1152/ajpendo.1999.276.1.E70 PMID: 9886952
- Jeppesen J, Maarbjerg SJ, Jordy AB, Fritzen AM, Pehmøller C, Sylow L, et al. LKB1 regulates lipid oxidation during exercise independently of AMPK. Diabetes. 2013 May;62(5):1490–9. https://doi.org/10.2337/db12-1160 PMID: 23349504
- Sylow L, Nielsen IL, Kleinert M, Møller LL, Ploug T, Schjerling P, et al. Rac1 governs exercise-stimulated glucose uptake in skeletal muscle through regulation of GLUT4 translocation in mice. J Physiol. 2016 Sep;594(17):4997–5008. https://doi.org/10.1113/JP272039 PMID: 27061726
- Sylow L, Møller LL, Kleinert M, D’Hulst G, De Groote E, Schjerling P, et al. Rac1 and AMPK Account for the Majority of Muscle Glucose Uptake Stimulated by Ex Vivo Contraction but Not In Vivo Exercise. Diabetes. 2017 Jun;66(6):1548–59. https://doi.org/10.2337/db16-1138 PMID: 28389470
- Fentz J, Kjøbsted R, Birk JB, Jordy AB, Jeppesen J, Thorsen K, et al. AMPKα is critical for enhancing skeletal muscle fatty acid utilization during in vivo exercise in mice. FASEB J. 2015 May;29(5):1725–38. https://doi.org/10.1096/fj.14-266650 PMID: 25609422
- Sylow L, Møller LL, Kleinert M, Richter EA, Jensen TE. Stretch-stimulated glucose transport in skeletal muscle is regulated by Rac1. J Physiol. 2015 Feb;593(3):645–56. https://doi.org/10.1113/jphysiol.2014.284281 PMID: 25416624
- Jensen TE, Sylow L, Rose AJ, Madsen AB, Angin Y, Maarbjerg SJ, et al. Contraction-stimulated glucose transport in muscle is controlled by AMPK and mechanical stress but not sarcoplasmatic reticulum Ca(2+) release. Mol Metab. 2014 Jul;3(7):742–53. https://doi.org/10.1016/j.molmet.2014.07.005 PMID: 25353002
- Lackner R, Challiss RA, West D, Newsholme EA. A problem in the radiochemical assay of glucose-6-phosphatase in muscle. Biochem J. 1984 Mar;218(2):649–51. https://doi.org/10.1042/bj2180649 PMID: 6324762
- Virkamäki A, Rissanen E, Hämäläinen S, Utriainen T, Yki-Järvinen H. Incorporation of [3-3H]glucose and 2-[1-14C]deoxyglucose into glycogen in heart and skeletal muscle in vivo: implications for the quantitation of tissue glucose uptake. Diabetes. 1997 Jul;46(7):1106–10. https://doi.org/10.2337/diab.46.7.1106 PMID: 9200643
- Sokoloff L, Reivich M, Kennedy C, Des Rosiers MH, Patlak CS, Pettigrew KD, et al. The [14C]deoxyglucose method for the measurement of local cerebral glucose utilization: theory, procedure, and normal values in the conscious and anesthetized albino rat. J Neurochem. 1977 May;28(5):897–916. https://doi.org/10.1111/j.1471-4159.1977.tb10649.x PMID: 864466
- Ferré P, Leturque A, Burnol AF, Penicaud L, Girard J. A method to quantify glucose utilization in vivo in skeletal muscle and white adipose tissue of the anaesthetized rat. Biochem J. 1985 May;228(1):103–10. https://doi.org/10.1042/bj2280103 PMID: 3890836
- Kipnis DM, Cori CF. Studies of tissue permeability. V. The penetration and phosphorylation of 2-deoxyglucose in the rat diaphragm. J Biol Chem. 1959 Jan;234(1):171–7. https://doi.org/10.1016/S0021-9258(18)70358-X PMID: 13610915
- Forsythe ID, Howells S, Barrett KE. Reproducibility and data presentation. J Physiol. 2019 Nov;597(22):5313. https://doi.org/10.1113/JP277519 PMID: 31657457
Supplementary information
File S1. Statistical summary table specifying the specific statistical test used to analyze the different datasets.
Supplementary information of this article can be found online at
https://jbmethods.org/jbm/article/view/385.