Download
Review

Enzymatic processes in alternative reaction media: a mini review

Mansour Ghaffari-Moghaddam1, Hassan Eslahi1, Yasar A. Aydin2*, Didem Saloglu3
1Department of Chemistry, Faculty of Science, University of Zabol, Zabol, Iran
2Department of Chemical Engineering, Faculty of Chemical and Metallurgical Engineering, Istanbul Technical University, 34469 Istanbul, Turkey
3Department of Chemical and Process Engineering, Faculty of Engineering, Yalova University, Yalova, 77100, Turkey
*Corresponding author: Yasar Andelib Aydin, Tel.: +90 212 285 68 78 411, Fax: +90 212 285 34 25, Email: erdoganyas@itu.edu.tr
Competing interests: The authors have declared that no competing interests exist.
Received April 8, 2015; Revision received July 29, 2015; Accepted July 30, 2015; Published September 2, 2015
Abstract Biocatalysis is a growing field in the production of fine chemicals and will most probably increase its share in the future. Enzymatic reactions are carried out under mild conditions, i.e., non-toxic solvents, low temperature and pressure, which eliminates most environmental drawbacks associated with conventional production methods. The superiority of chemo-, regio- and enantioselectivity of enzymes exhibit significant advantages over conventional catalysts for production of fine chemicals, flavors, fragrances, agrochemicals and pharmaceuticals. Enzymes can function both in aqueous and non-aqueous solvents. As a result of the growing scientific and industrial interest towards green chemistry, green solvent systems, which are mainly water, supercritical fluids, ionic liquids, fluorinated solvents, and solvent-free systems have become more popular in biocatalysis. However, the activity and selectivity of an enzyme is heavily dependent on solvent properties. In this review, various green solvents were classified and some of their influential features on enzyme activity were discussed.
Keywords: aqueous solvents, biocatalysts, enzymatic reactions, green solvents

Introduction

During the past decades, biocatalysts have been used as useful tools in various synthesizing approaches [1,2]. Enzymes are active under gentle reaction conditions (pH, temperature and water as the usual reaction medium). These multifunctional catalysts allow performing many wrapped chemical processes under these mild conditions with high activity, selectivity and specificity [3-4]. In a sense of green chemistry, enzymes are green catalysts, especially for the synthesis of chiral building blocks, enantiopure drugs and pharmaceuticals, detergents and for clinical analysis, fermentation and food production [4-8].
Determination of a solvent system is pivotal for stability and selectivity of an enzyme and the reaction products. For a given reaction, a proper solvent can be selected with consideration of a number of influential parameters such as compatibility with the reaction and with the biocatalyst, density, surface tension, toxicity, and flammability. While low density is favored for minimizing mass transfer restrictions, low toxicity is required for easy waste disposal. Also, the solvent should be available in large quantities at relatively low cost [9-12].
Solvents for enzymatic reactions are generally ordered as: i) aqueous solvents; ii) organic solvents (monophasic organic systems); iii) water: water-miscible (monophasic aqueous-organic systems); iv) water: water-immiscible (biphasic aqueous-organic systems); v) supercritical fluids; vi) anhydrous media; vii) reversed micelles; viii) solvent-free systems; ix) gas phases; x) fluorinated solvents; and xi) ionic liquids [13,14]. The solvents that exhibit better environmental, health and safety properties such as low volatility, miscibility, toxicity and high biodegradability are characterized as ‘green’ solvents [15]. In this context, two main groups of green systems are involved in biocatalysis: i) water and non-aqueous green solvents, which include: ionic liquids, supercritical fluids, fluorinated solvents, and ii) solvent-free systems (SFS) [16,17]. In this review, we discuss the applications of aqueous and non-aqueous green solvents as well as solvent-free systems in enzymatic reactions.

Enzymes and solvents

Aqueous solvents

Although water is considered as a poor solvent for preparative organic chemistry, there has been an increasing attention towards the chemical reaction designs in aqueous medium [13,18]. Water affects the enzyme activity in different ways: by facilitating reagent diffusion; by influencing the reaction equilibrium; and by influencing the enzyme structure via non-covalent bonding and/or disruption of hydrogen bonds. Though water is essential for the preservation of catalytic activity of an enzyme, the specific activity and concordantly, reaction rates can be reduced at high and low ends of water content. Therefore, the optimal amount of water is often within a limited range.
Generally, controlling water content in the reaction systems is a challenge, especially when water is formed as a by-product of the reaction, like it is in esterification [19]. Thermodynamic water activity (aw) is used to measure the water content in a reaction. It exhibits the distribution of water between the various phases that compete in binding to water and the mass action effects of water in hydrolytic equilibrium. In fact, this factor describes the activity and hydration level of the enzyme [20-21].
The effect of water activity on protease catalyzed synthesis of dipeptides was demonstrated recently by Vossenberg et al. who in particular studied the coupling of Z-Phe-OCam and Phe-NH2 via Alcalase CLEA-OM catalysis within an aw range of 0–0.95 [22]. In this coupling reaction, water leads to the hydrolysis of Z-Phe-OCam, i.e., the substrate. Figure 1 shows the effect of aw on the total catalytic activity that covers both the synthesis of dipeptide and the hydrolysis of the substrate. Accordingly, a high conversion ratio and catalytic activity were obtained at significantly high aw values (aw = 0.95). Meanwhile, a similar level of catalytic activity was also recorded at very low aw (aw < 0.1) values. To be decisive, synthesis/hydrolysis (S/H) ratio was also calculated as a function of aw and plotted in Figure 1. While, the S/H ratio was theoretically infinite at extremely low aw values due to the absence of substrate hydrolysis, with the increase of aw values beyond 0.2, the S/H ratio reduced rapidly to 1, which proved the domination of hydrolysis reaction. Since, the amount of automatic hydrolysis of Z-Phe-OCam at high aw (aw > 0.8) values were insignificant in comparison to the total amount of hydrolysis, the inhibitory effect of high water content on the synthesis reaction was proven and it was concluded that a low aw (aw < 0.1) was favorable for dipeptide (Z-Phe-Phe-NH2) synthesis [22].
Figure 1. Effect of aw on the (u) total catalytic activity of Alcalase CLEA-OM and on the (o) synthesis/hydrolysis (S/H) ratio for peptide synthesis reaction run at 25°C and 15 rpm for 24 h [22].
There are a lot of research reports about the application of aqueous media in various enzymatic reactions in which the reaction equilibrium was successfully shifted towards synthesis and concordantly very high yields were obtained at higher water contents [21, 23-24]. Borchert et al. (2012) have recently reported a highly efficient chemoenzymatic process combining a palladium-catalyzed Suzuki cross-coupling reaction with an enzymatic reduction in a one-pot process in aqueous medium with both steps conducted at room temperature (Fig. 2). For this process, a water-soluble palladium catalyst system was developed and used in the synthesis of biarylketone, which constituted the first step of reaction. After adjustment of the pH value to pH 7, the biarylketone was then reduced in situ via an enzymatic asymmetric reduction in the presence of an alcohol dehydrogenase (ADH) either from Rhodococcus sp. or Lactobacillus kefir. Regardless of the ADH source, the desired alcohol was synthesized with excellent overall conversions (for two steps) and enantioselectivities, reaching as high as > 95% and > 99% enantiometric excess (ee), respectively [25].

Non-aqueous green solvents

While natural media for enzymes are undoubtedly aqueous solutions, the insolubility of many compounds in water, water induced side reactions; the unfavorable thermodynamic equilibria of many processes in water, and the difficulties of product recovery have urged the need for enzyme catalysis in non-aqueous media [13,26-28]. Fortunately, with profound scientific research, it was proved that enzymes could be made active in organic solvents with little or no water [26]. As a result, non-aqueous media have replaced water in many biotechnological processes including synthesis of chirals, modified fats and oils, specialty pharmaceuticals [13,29], food additives, flavor esters, biopolymers, peptides, and proteins [13].
While organic solvents aid in enhancement of enzyme selectivity, it is common for the enzymes to show lower activity and stability in non-aqueous organic solvents [13,30-36]. In fact, other drawbacks have also been reported: i) inactivation of enzymes due to irreversible changes in protein conformation; ii) mass-transfer limitations in heterogeneous systems or viscous solvents; iii) poor stability and dispensability of enzymes; and v) the need for water activity control for processes involving condensation reactions [34,37-40]. However, through methods such as lyophilization with or without the addition of lyoprotectants, utilization of double phase systems, immobilization on a solid support or chemical modification by polymers, the disadvantages of organic solvents may be overcome [28,34]. The use of these methods should be carefully justified, since the production of modified biocatalysts involve labor intensive and costly procedures [37].

Ionic liquids (ILs)

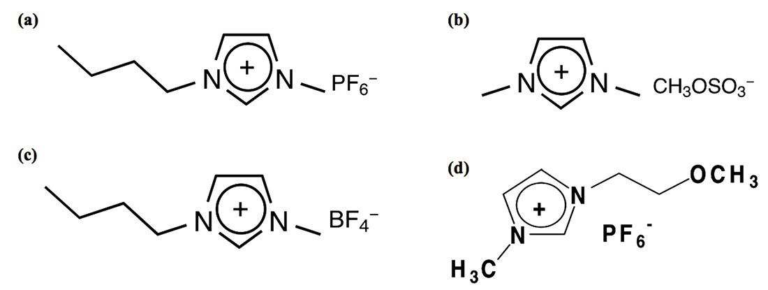
Ionic liquids, called also as molten salts, are organic salts with very low melting points. Thus, ionic liquids are composed purely of ion pairs that are liquid at ambient temperature [41-44]. The fact that the physicochemical properties of ionic liquids are determined by the cation and/or anion pair enables scientists to modify solution properties in favor of targeted synthesis [41-43]. While the non-volatile and thermostable nature of ILs is beneficial in terms of environmental aspects, the ability to dissolve many polar and non-polar compounds and miscibility with conventional solvents to form multiple phase systems render ILs of notable interest to biochemists. Many ILs such as [BMIM][PF6] (1-butyl-3-methylimidazolium hexafluorophosphate), [BMIM][BF4] (1-butyl-3-methylimidazolium tetrafluoroborate) and [MMIM][MeSO4] (1-methyl-3-methylimidazolium methylsulfate), can be used both as pure solvents and co-solvents (Fig. 3).
As a result of the adaptability of properties, enzymes generally exhibit higher activity, enantioselectivity, and stability in ILs than in organic solvents [20,40-45]. The first reports for the application of ILs as reaction media for biocatalysis date back to a few decades only [41], yet significant proof has been collected for their efficacy, especially in lipase induced biotransformations [21,42,47]. Kim et al. (2003) have demonstrated the advantage of ILs for the selective acylations of methyl-6-O-trityl-glucosides and galactosides by Candida rugosa lipase. Two ionic liquids, namely, [BMIM]-PF6 and [MOEMIM]-PF6 were compared with THF and chloroform in terms of their effects on reaction rates and product selectivity. Results proved that acylation reaction of 6-O-protected glycosides proceeded at remarkably higher rates, showing higher regioselectivity for 2-O-acetyl glycoside, i.e. the major product, in ILs than in organic solvents. The superiority of reactivity, selectivity and yield were attributed to the polarity of ILs that led to increased substrate solubility and more favorable structural adaptability of lipase. After the removal of products by extraction, the reusability of [BMIM]-PF6 was investigated in two successive reaction runs, which provided average yield of 91.5% [48].
Figure 2. The chemoenzymatic one-pot process in aqueous medium (> 95% conversion and > 99% ee over two steps of reaction run at room temperature) [25].
Figure 3. Structures of some common ILs used for biocatalytic reactions. (a)[BMIM][PF6], (b)[MMIM][MeSO4],(c)[BMIM][BF4], (d)[OEMIM][PF6].
Figure 4. Ring opening polymerization of ϵ-caprolactone catalyzed by Candida antarctica lipase B (Novozym 435) in supercritical CO2.
A common method for achievement of high enzymatic activity together with operational stability is to immobilize enzymes on a biocompatible solid support. Such a process was reported very recently by Fernandez et al. (2014) who in particular compared the activity of free and immobilized Myceliophthora thermophila laccase (Novozym 51003) in 1-ethyl-3-methylimidazolium ethylsulfate ([emim][EtSO4])-buffer media of varying ratios. Accordingly, the stabilizing effect of immobilization was more evident at IL concentrations beyond 50% (v/v). The loss in activity was as high as 80% when free M. thermophila laccase was incubated for 7 days in 75% (v/v) IL. On the other hand, immobilized M. thermophila laccase could retain 55% of its activity under identical conditions [45].
The activity stabilizing effect of ILs was also demonstrated by Cvjetko et al. (2012), who involved a series of alkyl-, alkenyl-, alkynyl-, benzyl- and N-alkoxyl-substituted imidazolium based ILs in lipase-catalyzed esterification of isoamyl alcohol. A conventional organic solvent, n-heptane, was also used for comparative purposes while screening for the optimum medium. Evaluation of data proved that both catalytic activity and ester yield were significantly affected by the characteristics of the used IL. The increment in hydrophobicity with increasing alkyl chain length favored both the reaction rate and isoamyl acetate yield. Out of the 19 ILs screened, [C7mmim][Tf2N] (1-Heptyl-2,3-dimethylimidazolium bis(trifluoromethanesulfonyl)imide) was selected as the most suitable medium for Candida antarctica lipase B (Novozym 435) mediated isoamyl acetate synthesis, based on its identical performance with n-heptane, i.e. initial reaction rate of 10.2 mmol.min-1g-1 and isoamyl acetate yield of 92%. Though enzyme reusability issue was overlooked, enzyme stability was investigated during 30 days of exposure to [C7mmim][Tf2N]. Accordingly, the enzyme was perfectly stable, owing to the high hydrophobicity of this IL and low nucleophilicity of its anion [49].
The positive effect of hydrophobicity was also observed by Kielbasinski et al. (2002), who aimed to improve the stereoselectivity in lipase catalyzed acetylation of racemic P-chiral hydroxymethanephosphinates and hydroxymethylphosphine oxides by using [BMIM][PF6] and [BMIM][BF4] as solvents. With the interpretation of experimental results, it was concluded that the hydrophobic IL, i.e., [BMIM][PF6], was far more efficient as stereoselectivity enhancer than [BMIM][BF4]. The lack of stereoselectivity in the latter IL was related to its hydrophilic nature, which presumably caused insufficiency in enzyme hydration by stripping off the essential water from the enzyme surface [50].
Despite their advantages as activity, yield and stereoselectivity enhancers in a variety of biotransformations catalyzed by lipases, proteases and oxidoreductases, using ionic liquids on an industrial scale is yet limited due to the high price involved. Until the development of highly efficient processes that enable recycling of enzyme and solvent, the utilization of ILs as reaction media can be seen as a realistic solution only for the production of high added value molecules [21,41,42,51].
Recently, a new generation of low cost ILs, called as deep eutectic solvents (DES), is being proposed for use in enzymatic reactions [52]. DES can be synthesized by mixing different proportions of an ammonium salt such as choline chloride with a hydrogen bond donor such as amines, amides, alcohols, and carboxylic acids under conditions close to ambient temperature [52-53]. Lipase mediated reactions constitute majority of the limited number of reports on the utilization of DES as reaction media either solely or as co-solvent [53-56]. These reports clearly demonstrate that the selection of proper salt and hydrogen bond donor as well as their ratio can affect the activity and stability of an enzyme [56]. A recent example has been published by Huang et al. (2014) who determined that using a DES composed of choline acetate to glycerol ratio of 1:2 as reaction medium in the transesterification of Millettia pinnata seed oil leaded to 1.4 and 17.4 folds of enhancements in activity and stability of Penicillium expansum lipase with respect to Tris-HCl buffer medium [55]. The influence of the anion structure was also highlighted by Bi et al. (2015) who investigated the phospholipase D (Streptomyces chromofuscus) mediated transphosphatidylation of phosphatidylcholine with L-serine in 12 different bio-based DES synthesized from choline hydroxide and L-amino acids. While the molecular size of the anion seemed to reduce initial rate of reaction, phosphatidylserine yield was increased as additional carboxylic acids were present in the side chain of amino acid. The highest phosphatidylserine yield of 86.5% was recorded after 60 h of reaction in choline-glutamic acid DES. Moreover, the activity of phospholipase D was reduced only by 25% after 10 successive batches [53]. The stabilizing effect was also highlighted by Zhao et al. (2013) who observed 10% activity loss of Candida antarctica lipase B (Novozym 435) over 4 batches of transesterification of soybean oil run in DES-organic solvent system composed of 70% (v/v) choline chloride/glycerol (1:2) and 30% (v/v) methanol [54]. While a lower salt to hydrogen bond donor ratio seems to be favorable for lipases, Wu et al. (2014) have recently shown that the activity of horseradish peroxidase increases at higher salt to hydrogen bond donor ratios. The extensive hydrogen bonding through the DES itself, rather than the synergistic effect of its components, has been argued to be responsible of the positive effects on enzyme activity [56].
Though DES are currently promoted as a cheaper and environmentally friendlier alternative to the traditionally used ionic liquids, the utilization of nontoxic bioresources in the synthesis route does not essentially indicate a lower toxicity. Indeed, the composition, viscosity, and concentration of DES play an important role in determination of toxicity and cytotoxicity level as clearly demonstrated by Hayyan et al. (2013) [57]. Cytotoxicity studies of DES obtained by the combination of choline chloride with glycerine, ethylene glycol, triethylene glycol or urea on brine shrimps showed that all exhibited higher potent cytotoxicity than their individual components. Therefore, further research is yet required to postulate the non-toxicity and biodegradability of DES (Hayyan et al. 2013) [57].

Supercritical fluids

Supercritical fluids are amongst the newest non-aqueous solvents for natural compounds’ synthesis and extraction [14]. Indeed, it was only after 1985 that the supercritical fluids were involved in enzyme-catalyzed reactions. However, the research in using supercritical fluids as reaction media for enzymatic catalysis is continuously emerging due to their unique properties [58].
A fluid is recalled to be supercritical when above its critical temperature (Tc) and pressure (Pc), yet below the pressure to condense it into a solid. Supercritical fluids resemble gases in low viscosities and high diffusivities, and exhibit liquid like densities and dissolving powers [14,58-65]. These properties are most beneficial for enhancing mass transfer rates, overcoming diffusion limitations and increasing solubility of substrates, especially for hydrophobic ones [14,61-65]. Moreover, the density and all density related properties such as dielectric constant, partition coefficient, and solubility can be manipulated by small changes in temperature and pressure, which provides a perfect tool to control the reaction environment [41,62,64,66]. As a result of these features, supercritical fluids have been used as reaction media for several biocatalytic reactions such as esterification, transesterification [14,59,63-64,66-67], polymerization [60,63-64], acetylation, carboxylation, and transglycosylation [58,63-64,66].
Many compounds such as ethane, ethylene, propane, fluoroform, sulfur hexafluoride, chlorodifluoromethane and xenon are appropriate for use in supercritical state with enzymes. However, majority of applications involve supercritical carbon dioxide (Sc-CO2) owing to its non-flammability, low cost, low toxicity, relatively low critical parameters (Tc = 31.4°C, Pc = 73.8 bar) and ease of downstream processing [14,41,59-60,63-65,68]. Despite the high cost of required equipment [62], the possibility of undesirable chemical reactions, i.e. the formation of carbamates and carbonic acid that can reduce or destroy the catalytic activity of an enzyme [64] and high pressure deactivation [14], there are numerous scientific reports that provide solid proof for advantageous use of Sc-CO2 in biocatalysis [58-61,66-68]. Yet, the effects of CO2 on enzyme activity are specific for the enzyme, substrates, and the reaction studied [64].
Lipases constitute the majority of enzymes employed in research involving Sc-CO2 [62]. Kmecz et al. (2006) studied the enentioselective acylation of 3-benzyloxypropane-1,2-diol in Sc-CO2 using lipases from different sources. When compared to the reaction in mixture of hexane and tetrahydrofuran, lower yield (20–25% vs. 46%), but somewhat higher enantiomeric purity (86% ee vs. 80% ee) were detected [69]. Romero et al. (2005) studied the synthesis of isoamyl acetate from isoamyl alcohol by two different immobilized lipases (Novozym 435 from Candida antarctica and Lipozyme RM-IM from Rhizomucor miehei) using both n-hexane and Sc-CO2 as reaction media. The esterification ratios reached as high as 90% for both media, however, the initial reaction rate was significantly higher for Sc-CO2 [70].
A similar observation was made by Dolores et al. (2010) who studied the synthesis of different hexyl esters by esterification of several carboxylic acids of different chain lengths in n-hexane and Sc-CO2 [68]. The esterification yields were approximately equal and above 93% for all studied substrates (acetic acid, propionic acid, butyric acid, caproic acid, caprylic acid) in n-hexane with the initial reaction rates increasing in the order of increasing acid chain length. When Sc-CO2 was used as reaction medium, the esterification of carboxylic acids other than acetic and propionic acid proceeded faster, though leading to a similar final ester yield [68].
The feasibility of Sc-CO2 in the enzymatic ring-opening polymerization of ϵ-caprolactone (Fig. 4) was demonstrated by Loeker et al. (2004) [71]. In this study, the molecular weights and polydispersities of poly- (ϵ-caprolactone) (PCL) synthesized by Candida antarctica lipase B (Novozym-435) in the presence of Sc-CO2 were compared to those obtained in toluene. The results proved that reaction time, substrate concentration and the density of CO2 affected the quality and yield of the polymer. High molecular weight poly- (ϵ-caprolactone) (Mw 50000 g mol-1) was obtained in a reaction time of 24 h using 33% (vol.) of ϵ-CL and a low density of CO2 of 0.50 g cm-3. While the molecular weights were very similar to the results obtained in toluene (Mn 48400 g mol-1), the polydispersity index was significantly lower (1.4 vs. 1.7) in addition to the high yields (98% vs. 86%) involved. Repeated use of Candida antarctica lipase B (Novozym 435) and Sc-CO2 resulted with similar polymer weights, which justified the use of Sc-CO2 in the synthesis of PCL [71].
Though fewer, there are also reports on the effects of Sc-CO2 on the reactions catalyzed by esterases, hydrolases, dehydrogenases, carboxylases and oxidases. In any case, Sc-CO2 offers certain advantages regarding higher reaction rates, enzyme stability and selectivity over conventional organic solvents as described by Matsuda et al. (2004) [66] and Hobbs and Thomas (2007) [64].
Figure 5. Schematic diagram of a fluorous biphasic system [74].
Figure 6. Production of (R)- and (S)-ketoprofen by immobilized lipases from Candida antarctica (Novozym 435), Rhizomucor miehei (Lipozyme IM) or Candida rugosa (Lipase OF) in a biphasic system comprising organic and aqueous phases. While (R)-enantiomer is produced with Novozym 435 and Lipozyme IM, Lipase OF is stereospecific to (S)-enantiomer. R1 indicates methyl, ethyl, propyl, butyl, hexyl, octyl, or decyl moieties [76].

Fluorinated solvents

The use of fluorinated solvents in biocatalysis is not limited to the supercritical fluorous solvents described in the previous section. Hydrofluorocarbons (HFCs) such as 1,1,1,2-tetrafluoroethane (R-134a) and 1,1,1,2,3,3,3-heptafluoropropane (R-227ea) and perfluorinated solvents such as perfluorohexane and perfluorooctane constitute alternatives to conventional solvents in that they have relatively lower boiling points and they can be easily handled at moderate pressures [41, 64]. While perfluorinated solvents exhibit lower polarities than their corresponding organic solvents [64], the opposite case applies for the HFCs [72]. In any case, these differences in polarity help overcome solubility issues for a wide range of substrates and eliminate the need for the use of polar co-solvents. The relatively hydrophobic nature of HFCs is also an additional advantage, which precludes the stripping of the essential active-site water molecules from the enzyme surface [73]. Moreover, fluorous solvents can be combined with organic solvents to form homogeneous or heterogeneous mixtures as a function of temperature. This fact has revealed the opportunities for enzymatic catalysis in multiphasic systems with added benefits in downstream processing [72,74]. In such a multiphase system, the biocatalyst is either dissolved in a fluorous solvent or used as a suspension while the substrates are dissolved in an organic solvent. The fluorous and organic phases form a homogenous mixture upon heating and after the reaction, cooling the system easily separates phases (Fig. 5). The temperature behavior is surely dependant upon the composition of the solvents [64,74-75].
Reports describing the use of biocatalysts in fluorous solvents are in limited numbers. Saul et al. (2004) have provided proof for the superiority of HFCs over organic solvents for lipase and protease catalyzed biotransformations [73]. Anhydrous HFCs, namely, R-134a, R-227ea, and difluoromethane (R-32) were involved as reaction media in lipase catalyzed kinetic resolution of (±)-1-phenylethanol (r1), lipase catalyzed desymmetrization of meso-2-cyclo-pentene-1,4-diol with vinyl acetate (r2) and protease catalyzed transesterifications of N-acetyl and N-trifluoroacetyl phenylalanine propyl esters with methanol (r3). Significant increases were reported in reaction rates, product yields and enantioselectivities for r1 and r2 when run in HFCs than in hexane and MTBE, and in THF, respectively. The catalytic activity of subtilisin Carlsberg protease was also higher in HFCs, particularly in R-134a, than in THF, acetonitrile or hexane [73].
The solubility of an enzyme is generally very low in fluorous solvents. Panza et al. (2002) have resolved this problem through fluorination [75]. Fluorinated nicotinamide adenine dinucleotide (FNAD) was prepared by covalently attaching a perfluoropolyether tail to NAD. The resulting compound was then soluble in methoxynonafluorobutane (HFE), 1,1,2-trifluorotrichloroethane, perfluorodimethylcyclohexane, perfluoromethylcyclohexane, perfluoroheptane, and perfluorohexane. FNAD was used as a coenzyme for horse liver alcohol dehydrogenase (HLADH) in catalyzing the reduction of butryaldehyde to butanol and oxidation of ethanol to acetaldehyde in HFE solvent. The reactions run under the presence of soluble FNAD proceeded much faster than the reactions performed with the same molar amount of insoluble NAD or NAD directly lyophilized with the enzyme [75].
Hobbs et al. (2007) suggested the combined use of hydrophobic ion pairing and fluorous biphasic systems in a-chymotrypsin catalyzed transesterification of N-acetyl-l-phenylalanine ethyl ester with n-propanol so as to achieve enzyme solubility together with the ease of separation and recyclability [74]. Accordingly, the enzyme α-chymotrypsin was extracted from an aqueous solution into the fluorous solvent, perfluoromethylcyclohexane (PFMC), by ion pairing with perfluoropolyethercarboxylate surfactant KDP 4606. These complexes in PFMC, composed of small protein aggregates surrounded by surfactant, formed biphasic systems on addition of substrates dissolved in hexane. While homogeneous catalysis occurred at 20°C, phases were easily partitioned by cooling to 0°C. The recycling of the fluorous phase including enzyme-surfactant complex resulted with high catalytic activity over four reaction cycles [74].
Biocatalysis in fluorous solvents is a relatively newer field of research. However, it is evident that these solvents offer cost and time efficiency in biocatalyst separation, recyclability and reuse. On the other hand, further research is yet required to answer leaching and environmental persistence issues that are under debate for the use of fluorous solvents.

Solvent-free systems (SFS)

An alternative strategy to eliminate the drawbacks associated with the use of solvents is to avoid their use so as to run the reaction only in the presence of reagents and corresponding biocatalysts, i.e. under solvent free conditions [21,64]. Solvent free processes are considered to be more environmentally friendly due to a number of interrelated facts. The elimination of solvent minimizes the required volume of reactor, simplifies the downstream processing and reduces the associated costs [76-82]. Consequently, biocatalysis in SFS has gained considerable scientific attention in recent years, particularly for applications regarding food industry, where solvent use is severely limited [81,83].
The rate and yield of biocatalysis in SFS are limited by the accessibility of the catalyst to the substrates, which is relatively simpler when one or more of the substrates is a liquid or a gas. Consequently, the enzymatic reaction is performed at very high substrate concentrations. A major concern is the possibility of denaturation of the enzyme in the substrate, particularly for the case of polar organic compounds [64,82]. Immobilization is a conventional solution to this phenomenon and consequently, immobilized enzymes are more common in SFSs [76-79,81-88]. Multiple step addition of substrates into the reaction medium, so as to keep their concentrations below a certain level has also been proposed [82]. Nevertheless, biocatalysis can run at higher rates with enhanced yields in SFSs, as demonstrated by various researchers for many organic reactions, with (trans)-esterification reactions being more common [76-79,81-88].
The possibility of producing enantio-pure chiral drugs in SFSs was investigated by Jin et al. (2003), who developed a double phase SFS for the kinetic resolution of ketoprofen esters by lipase catalyzed hydrolysis (Fig. 6) [76]. In this system, R-ketoprofen was continuously withdrawn from the organic phase (composed of rasemic mixture, unreacted substrate and immobilized enzyme) by extraction into the aqueous phase composed of 1N NaHCO3 (pH 8.7). Under optimal conditions, the enzymatic hydrolysis in SFS was 10-100 times more productive than in n-dodecanol and ethanol. Moreover, the enantioselectivities were comparable to those recorded in organic solvents (5-8 vs. 7-12) and enzyme reusability was close to perfection over three operation cycles run at 60ºC [76]. A similar result for enzyme reusability was reported recently by Gomez et al. (2011), who studied the synthesis of polyglycerol polyricinoleate (E-476) from polyricinoleic acid and polyglycerol by Rhizopus arrhizus lipase catalysis. The enzyme immobilized onto a cation exchange resin worked perfectly over three operation cycles in solvent free medium [77].
Yadav and Thorat (2012) have used the additional benefits of microwave irradiation in the lipase-catalyzed synthesis of isoamyl myristate from isoamyl alcohol and myristic acid [78]. Comparison of the reaction rates and conversion ratios recorded under solventless and organic solvent conditions proved the superiority of former case over the latter. At the uttermost case, 96% conversion was attained. However, almost 30% loss was observed in enzyme activity over three cycles of operation [78].
In fact, operational parameters such as reactant molar ratio, enzyme loading, temperature, time and the method used for enzyme recovery not only affect the yield and rate of reaction but also the operational stability of an enzyme, as clearly demonstrated by Sun et al. (2012) [87]. Through a ‘one factor at a time’ approach, the conversion of fusel alcohols and coconut oil to valuable flavor esters by Lipase TL IM was optimized. Accordingly, the solvent free system worked perfectly under 3:1 (alcohol to oil) molar ratio, 15% (w/w) enzyme loading, 23°C temperature, 20 h of reaction time and 130 rpm shaking rate. The activity of Lipase TL IM was stable over 5 batches of operation when washed with ethanol or water for recovery [87]. Similar optimization studies conducted for esterification reactions run in SFSs resulted with conversions within the range 73-98% [79,83-84,87].

Conclusions

Enzymes are biocatalysts that have exquisite properties like high activity, selectivity and specificity that permit the chemical processes to be performed under nonhazardous conditions. Recent advances in biotechnology, particularly in genetic and protein engineering, led to improvements in the stability and cost reduction of enzymes used in established applications and derivation of new, tailor-made enzymes for totally novel applications, where enzymes were not involved previously. The advances in bioreactor design, developments of new physical stabilization methods and efficient solvent systems have also acted on the expansion of biocatalysis within the recent decades. With the added benefits of high chemoselectivity, regioselectivity and enantioselectivity, the use of enzymes is continuously emerging in the production of fine chemicals, flavors, fragnances, agrochemicals, pharmaceuticals and biofuels. Enzymatic catalysis is commonly applied in aqueous solvents; however, excellent catalytic activity may also be achieved in non-aqueous media with limited or no water. In parallel with the concept of ‘green chemistry’, research trend has been directed mainly towards the utilization of ‘green solvents’ that are environmentally benign and recyclable, while coincidently maintaining biocatalytic activity.
There are five “green” solvent systems including water, ionic liquids, supercritical fluids, flourous solvents and solvent-free systems (SFSs), which are applied by chemists in the enzymatic organic synthesis instead of organic solvents. All exert benefits on several specific biotransformations of which some were summarized in this review. Combined use of neoteric solvents such as ILs, supercritical fluids and fluorous solvents to form multi-phase systems is currently receiving scientific attention. However, establishment of a commercial processes based on biocatalysis in such solvents requires engineering solutions to major challenges, i.e high costs involved and attaining the ideal conditions for desired enzyme turnover in large scale, which will hopefully be the main scopes for further studies.

References

  1. Koch K, Van Den Berg RJF, Nieuwland PJ, Wijtmans R, Wubbolts MG, et al. (2008) Enzymatic synthesis of optically pure cyanohydrins in microchannels using a crude cell lysate. Chem Eng J 135: 89-92.[Google Scholar]
  2. Teo EL, Chuah GK, Huguet ARJ, Jaenicke S, Pande G, et al. (2004) Process intensification with biocatalysts: dynamic kinetic resolution and fluorous phase switch with continuous extraction. Catal Today 97: 263-270.[Google Scholar]
  3. Mateo C, Palomo JM, Fernandez-Lorente G, Guisan JM, Fernandez-Lafuente R (2007) Improvement of enzyme activity, stability and selectivity via immobilization techniques. Enzym Microb Technol 40: 1451-1463.[Google Scholar]
  4. Solano DM, Hoyos P, Hernaiz MJ, Alcantara AR, Sanchez-Montero JM (2012) Industrial biotransformations in the synthesis of building blocks leading to enantiopure drugs. Bioresour Technol 115: 196-207. doi: 10.1016/j.biortech.2011.11.131. [View Article] [PubMed] [Google Scholar]
  5. Ghaffari Moghaddam M, Ahmad FBH, Basri M, Abdul Rahman MB (2010) Artificial neural network modeling studies to predict the yield of enzymatic synthesis of betulinic acid ester. Electron J Biotechnol 13: 3-4. doi: 10.2225/vol13-issue3-fulltext-9. [View Article][Google Scholar]
  6. Ghaffari Moghaddam M, Ahmad FBH, Basri M, Abdul Rahman MB (2010) Lipase-catalyzed esterification of betulinic acid using phthalic anhydride in organic solvent media: Study of Reaction Parameters. J Appl Sci 10: 337-342. doi: 10.3923/jas.2010.337.342. [View Article][Google Scholar]
  7. Quiroga E, Priolo N, Obregon D, Marchese J, Barberis S (2008) Peptide synthesis in aqueous–organic media catalyzed by proteases from latex of Araujia hortorum (Asclepiadaceae) fruits. Biochem Eng J 39: 115-120.[Google Scholar]
  8. Ogawa J, Shimizu S (1999) Microbial enzymes: new industrial applications from traditional screening methods. Trends in Biotechnol 17: 13-20. [PubMed] [Google Scholar]
  9. Bousquet MP, Willemot RM, Monsan P, Boures E (1998) Production, purification, and characterization of thermostable α-transglucosidase from Talaromyces duponti–application to α–alkylglucoside synthesis. Enzym Microb Technol 23: 83-90.[Google Scholar]
  10. Cramer JF, Dueholm MS, Nielsen SB, Pedersen DS, Wimmer R, et al. (2007) Controlling the degree of esterification in lipase catalysed synthesis of xylitol fatty acid esters. Enzym Microb Technol 41: 346-352.[Google Scholar]
  11. Ratzka J, Lauterbach L, Lenz O, Ansorge-Schumacher MB (2012) Stabilisation of the NAD+-reducing soluble [NiFe]-hydrogenase from Ralstonia eutropha H16 through modification with methoxy-poly(ethylene) glycol. J Mol Catal B: Enzym 74: 219-223.[Google Scholar]
  12. Reetz MT (2002) Lipases as practical biocatalysts. Curr Opin Chem Biol 6: 145-150. [PubMed] [Google Scholar]
  13. Krishna SH (2002) Developments and trends in enzyme catalysis in nonconventional media. Biotechnol Adv 20: 239-267. [PubMed] [Google Scholar]
  14. Dhake KP, Deshmukhi KM, Patil YP, Singhal RS, Bhanage BM (2011) Improved activity and stability of Rhizopus oryzae lipase via immobilization for citronellol ester synthesis in supercritical carbon dioxide. J Biotechnol 156: 46-51. doi: 10.1016/j.jbiotec.2011.08.019. [View Article] [PubMed] [Google Scholar]
  15. Capello C, Fischer U, Hungerbühler K (2007) What is a green solvent? A comprehensive framework for the environmental assessment of solvents. Green Chem 9: 927-934.[Google Scholar]
  16. Bódalo A, Bastida J, Máximo MF, Montiel MC, Murcia MD, et al. (2009) Influence of the operating conditions on lipase-catalysed synthesis of ricinoleic acid estolides in solvent-free systems. Biochem Eng 44: 214-219.[Google Scholar]
  17. Llerena-Suster CR, José C, Collins SE, Briand LE (2012) Investigation of the structure and proteolytic activity of papain in aqueous miscible organic media. Process Biochem 47: 47-56.[Google Scholar]
  18. Yadav GD, Lathi PS (2006) Intensification of enzymatic synthesis of propylene glycol monolaurate from 1,2-propanediol and lauric acid under microwave irradiation: Kinetics of forward and reverse reactions. Enzym Microb Technol 38: 814-820.[Google Scholar]
  19. Trusek-Holownia A, Noworyta A (2007) An integrated process: ester synthesis in an enzymatic membrane reactor and water sorption. J Biotechnol 130: 47-56. doi: 10.1016/j.jbiotec.2007.03.006. [View Article] [PubMed] [Google Scholar]
  20. Vossenberg P, Beeftink HH, Nuijens T, Quaedflieg PJLM, Ma CS, et al. (2012) Performance of Alcalase formulations in near dry organic media: Effect of enzyme hydration on dipeptide synthesis. J Mol Catal B: Enzym 78: 24-31.[Google Scholar]
  21. Villeneuve P (2007) Lipases in lipophilization reactions. Biotechnol Adv 25: 515-536. doi: 10.1016/j.biotechadv.2007.06.001. [View Article] [PubMed] [Google Scholar]
  22. Vossenberg P, Beeftinka HH, Nuijens T, Ma CS, Tramper J (2012) Selecting optimal conditions for Alcalase CLEA-OM for synthesis of dipeptides in organic media. J Mol Catal B: Enzym 75: 43-49.[Google Scholar]
  23. Yang K, Wang YJ (2004) Lipase-catalyzed transesterification in aqueous medium under thermodynamic and kinetic control using carboxymethyl cellulose acetylation as the model reaction. Enzym Microb Technol 35: 223-231.[Google Scholar]
  24. Knuttel T, Meyer H, Scheper T (2005) Synthesis, test and application of chirale fluorescence substrates to evaluate enzymatic processes in different reaction media. Enzym Microb Technol 37: 673-686.[Google Scholar]
  25. Groger H, Burda E, Schatz J, Hummel W, Groger H (2012) Combination of a Suzuki cross-coupling reaction using a water-soluble palladium catalyst with an asymmetric enzymatic reduction towards a one-pot process in aqueous medium at room temperature. In: J Mol Catal B: Enzym. J Mol Catal B: Enzym 84: 89- 93. [Google Scholar]
  26. Klibanov AM (2003) Asymmetric enzymatic oxidoreductions in organic solvents. Curr Opin Biotechnol 14: 427-431. [PubMed] [Google Scholar]
  27. Knuttel T, Meyer H, Scheper T (2006) The application of two-dimensional fluorescence spectroscopy for the on-line evaluation of modified enzymatic enantioselectivities in organic solvents by forming substrate salts. Enzym Microb Technol 39: 607-611.[Google Scholar]
  28. Konieczny S, Fik CP, Averesch NLH, Tiller JC (2012) Organosoluble enzyme conjugates with poly(2-oxazoline)s via pyromellitic acid dianhydride. J Biotechnol 159: 195-203. doi: 10.1016/j.jbiotec.2012.01.016. [View Article] [PubMed] [Google Scholar]
  29. Xu JC, Li WM, Zheng H, Lai YF, Zhang PF (2011) One-pot synthesis of tetrahydrochromene derivatives catalyzed by lipase. Tetrahedron 67: 9582-9587.[Google Scholar]
  30. Mb AR, Tajudin SM, Hussein MZ, Zalih RN, Rahman RA, et al. (2005) Application of natural kaolin as support for the immobilization of lipase from Candida rugosa as biocatalsyt for effective esterification. Clay Sci 29: 111-116.[Google Scholar]
  31. Liu B, Qian X, Wu Q, Lin X (2008) Two lipase-catalyzed sequential synthesis of drug derivatives in organic media. Enzym Microb Technol 43: 375-380.[Google Scholar]
  32. Park OJ, Holland HL, Khan JA, Vulfson EN (2000) Production of flavour ketones in aqueous-organic two-phase systems by using free and microencapsulated fungal spores as biocatalysts. Enzym Microb Technol 26: 235-242. [PubMed] [Google Scholar]
  33. Serdakowski AL, Dordick JS (2008) Enzyme activation for organic solvents made easy. Trends in Biotechnol 26: 48-54.[Google Scholar]
  34. Mine Y, Fukunaga K, Itoh K, Yoshimoto M, Nakao K, et al. (2003) Enhanced enzyme activity and enantioselectivity of lipases in organic solvents by crown ethers and cyclodextrins. J Biosci Bioeng 95: 441-447.[Google Scholar]
  35. Jeng FY, Lin SC (2006) Characterization and application of PEGylated horseradish peroxidase for the synthesis of poly(2-naphthol. Process Biochem 4: 1566-1573.[Google Scholar]
  36. Goswami D, Basu JK, De S (2012) Lipase applications in oil hydrolysis with a case study on castor oil: a review. Crit Rev Biotechnol 33: 81-96. doi: 10.3109/07388551.2012.672319. [View Article] [PubMed] [Google Scholar]
  37. Doukyu N, Ogino H (2010) Organic solvent-tolerant enzymes. Biochem Eng J 48: 270-282.[Google Scholar]
  38. Sirotkin VA (2005) Effect of dioxane on the structure and hydration-dehydration of alpha-chymotrypsin as measured by FTIR spectroscopy. Biochim Biophys Acta 1750: 17-29. doi: 10.1016/j.bbapap.2005.02.010. [View Article] [PubMed] [Google Scholar]
  39. Szabo A, Kotorman M, Laczko I, Simon LM (2009) Improved stability and catalytic activity of chemically modified papain in aqueous organic solvents. Process Biochem 44: 199-204.[Google Scholar]
  40. Milasinovic N, Knezevic-Jugovic Z, Jakovljevic Z, Filipovic J, Krusic MK (2012) Synthesis of n-amyl isobutyrate catalyzed by Candida rugosa lipase immobilized into poly(N-isopropylacrylamide-co-itaconic acid) hydrogels. Chem Eng J 181: 614-623.[Google Scholar]
  41. Ghanem A (2006) Trends in lipase-catalyzed asymmetric access to enantiomerically pure/enriched compounds. Tetrahedron 63: 1721-1754.[Google Scholar]
  42. Kragl U, Eckstein M, Kaftzik N (2002) Enzyme catalysis in ionic liquids. Curr Opin Biotechnol 13: 565-571.[Google Scholar]
  43. Naushad M, Alothman ZA, Khan AB, Ali M (2012) Effect of ionic liquid on activity, stability, and structure of enzymes: a review. Int J Biol Macromol 51: 555-560. doi: 10.1016/j.ijbiomac.2012.06.020. [View Article] [PubMed] [Google Scholar]
  44. Thomas MF, Li L, Handley-Pendleton JM, van der Lelie D, Dunn JJ, et al. (2011) Enzyme activity in dialkyl phosphate ionic liquids. Bioresour Technol 102: 11200-11203. doi: 10.1016/j.biortech.2011.09.069. [View Article] [PubMed] [Google Scholar]
  45. Fernández-Fernández M, Moldes D, Domínguez A, Sanromán, MÁ, Tavares APM, et al. (2014) Stability and kinetic behavior of immobilized laccase from Myceliophthora thermophila in the presence of the ionic liquid 1-ethyl-3-methylimidazolium ethylsulfate. Biotechnol Prog 30: 790-796. doi: 10.1002/btpr.1910. [View Article] [PubMed] [Google Scholar]
  46. Samayam IP, Schall CA (2010) Saccharification of ionic liquid pretreated biomass with commercial enzyme mixtures. Bioresour Technol 101: 3561-3566. doi: 10.1016/j.biortech.2009.12.066. [View Article] [PubMed] [Google Scholar]
  47. Adamczak M, Bornscheuer UT (2009) Improving ascorbyl oleate synthesis catalyzed by Candida antarctica lipase B in ionic liquids and water activity control by salt hydrates. Process Biochem 44: 257-261.[Google Scholar]
  48. Kim M, Choi MY, Lee JK, Ahn Y (2003) Enzymatic selective acylation of glycosides in ionic liquids: significantly enhanced reactivity and regioselectivity. J Mol Catal B: Enzym 26: 115-118.[Google Scholar]
  49. Cvjetko M, Vorkapic-Furac J, Znidarsic-Plazl P (2012) Isoamyl acetate synthesis in imidazolium-based ionic liquids using packed bed enzyme microreactor. Process Biochem 47: 1344-1350.[Google Scholar]
  50. Kielbasinski P, Albrycht M, Luczak J, Mikolajczyk M (2002) Enzymatic reactions in ionic liquids: lipase-catalysed kinetic resolution of racemic, P-chiral hydroxymethanephosphinates and hydroxymethylphosphine oxides. Tetrahedron: Asym 13: 735-738.[Google Scholar]
  51. Lai JQ, Hu ZL, Wang PW, Yang Z (2012) Enzymatic production of microalgal biodiesel in ionic liquid [BMIm][PF6]. Fuel 95: 329-333.[Google Scholar]
  52. Fishman A, Fishman A (2014) Modulating enzyme activity using ionic liquids or surfactants. Appl Microbiol Biotechnol 98: 545-554.[Google Scholar]
  53. Bi Y-H, Duan Z-Q, Li X-Q, Wang Z-Y, Zhao X-R (2015) Introducing biobased ionic liquids as the nonaqueous media for enzymatic synthesis of phosphatidylserine. J Agric Food Chem 63: 1558-1561. doi: 10.1021/jf505296k. [View Article] [PubMed] [Google Scholar]
  54. Zhao H, Zhang C, Crittle TD (2013) Choline-based deep eutectic solvents for enzymatic preparation of biodiesel from soybean. J Mol Catal B: Enzym 85: 243-247.[Google Scholar]
  55. Huang ZL, Wu BP, Wen Q, Yang TX, Yang Z (2014) Deep eutectic solvents can be viable enzyme activators and stabilizers. J Chem Technol Biotechnol 89: 89-1975.[Google Scholar]
  56. Wu BP, Wen Q, Xu H, Yang Z (2014) Insights into the impact of deep eutectic solvents on horseradish peroxidase: activity, stability and structure. J Mol Catal B: Enzym 101: 101-101. doi: 10.1016/j.molcatb.2014.01.001. [View Article][Google Scholar]
  57. Hayyan M, Hashim MA, Hayyan A, Al-Saadi MA, AlNashef IM (2013) Mirghani MES, Saheed OK (2013) Are deep eutectic solvents benign or toxic? Chemosphere 90: 2193-2195. doi: 10.1016/j.chemosphere.2012.11.004. [View Article] [PubMed] [Google Scholar]
  58. Liu Y, Chen D, Xu L, Yan Y (2012) Evaluation of structure and hydrolysis activity of Candida rugosa Lip7 in presence of sub-/super-critical CO2. Enzym Microb Technol 51: 354-358.[Google Scholar]
  59. van den Broek LAM, Boeriu CG (2012) Enzymatic synthesis of oligo- and polysaccharide fatty acid esters. Carbohydr Polym 93: 65-72. doi: 10.1016/j.carbpol.2012.05.051. [View Article] [PubMed] [Google Scholar]
  60. Jérôme C, Lecomte P (2008) Recent advances in the synthesis of aliphatic polyesters by ring-opening polymerization. Adv Drug Deliv Rev 60: 1056-1076. doi: 10.1016/j.addr.2008.02.008. [View Article] [PubMed] [Google Scholar]
  61. Yan JY, Yan YJ, Yang JK, Xu L, Liu Y (2009) Combined strategy for preparation of a bioimprinted Geotrichum sp. lipase biocatalyst effective in non-aqueous media. Process Biochem 44: 1128-1132.[Google Scholar]
  62. Mesiano AJ, Beckman EJ, Russell AJ (1999) Supercritical biocatalysis. Chem Rev 99: 623-634. [PubMed] [Google Scholar]
  63. Habulin M, Primozic M, Knez Z (2007) Supercritical fluids as solvents for enzymatic reactions. Acta Chim Slov 54: 667-677.[Google Scholar]
  64. Hobbs HR, Thomas NR (2007) Biocatalysis in supercritical fluids, in fluorous solvents, and under solvent-free conditions. Chem Rev 107: 2786-2820. doi: 10.1021/cr0683820. [View Article] [PubMed] [Google Scholar]
  65. Kamat SV, Beckman EJ, Russell A (1995) Enzyme activity in supercritical fluids. Crit Reviews Biotechnol 15: 41-71.[Google Scholar]
  66. Matsuda T, Watanabe K, Harada T, Nakamura K (2004) Enzymatic reactions in supercritical CO2: carboxylation, asymmetric reduction and esterification. Catal Today 96: 103-111.[Google Scholar]
  67. Shin MH, Cheong NY, Lee JH, Kim KH (2009) Transglucosylation of caffeic acid by a recombinant sucrose phosphorylase in aqueous buffer and aqueous-supercritical CO2 media. Food Chem. Caffeic Acid by a Recombinant Sucrose Phosphorylase in Aqueous Buffer and Aqueous-supercritical 115: 1028-1033.[Google Scholar]
  68. Garcia-Sanz A, Diaz R, Gómez JM, Díaz-Suelto B, García-Sanz A (2010) Enzymatic synthesis of short-chain esters in n-hexane and supercritical carbon dioxide: Effect of the acid chain length. Eng Life Sci 10: 171-176.[Google Scholar]
  69. Kmecz I, Simandi B, Poppe L, Juvanicz Z, Renner K, et al. (2006) Lipase-catalyzed enantioselective acylation of 3-benzyloxypropane-1,2-diol in supercritical carbon dioxide. Biochem Eng J 28: 275-280.[Google Scholar]
  70. Romero MD, Calvo L, Alba C, Habulin M, Primozic M, et al. (2005) Enzymatic synthesis of isoamyl acetate with immobilized Candida antarctica lipase in supercritical carbon dioxide. J Supercrit Fluids 33: 77-84.[Google Scholar]
  71. Loeker FC, Duxbury CJ, Kumar R, Gao W, Gross RA. Howdle SM (2004) Enzyme-catalyzed ring-opening polymerization of ε-caprolactone in supercritical carbon dioxide. Macromol 37: 2450-2453.[Google Scholar]
  72. Beier P, O'Hagan D (2002) Enantiomeric partitioning using fluorous biphase methodology for lipase-mediated (trans)esterifications. Chem Commun (Camb) : 1680-1681. [PubMed] [Google Scholar]
  73. Saul S, Corr S, Micklefield J (2004) Biotransformations in Low-Boiling Hydrofluorocarbon Solvents. Angew Chem Int Ed 43: 5519-5523. doi: 10.1002/anie.200460082. [View Article] [PubMed] [Google Scholar]
  74. Hobbs HR, Kirke HM, Poliakoff M, Thomas NR (2007) Homogeneous biocatalysis in both fluorous biphasic and supercritical carbon dioxide systems. Angew Chem Int Ed Engl 46: 7860-7863. doi: 10.1002/anie.200701488. [View Article] [PubMed] [Google Scholar]
  75. Panza JL, Russell AJ, Beckman EJ (2002) Synthesis of fluorinated NAD as a soluble coenzyme for enzymatic chemistry in fluorous solvents and carbon dioxide. Tetrahedron 58: 4091-4104.[Google Scholar]
  76. Jin JN, Lee SH, Lee SBJ (2003) Immobilization of lipase in a mesoporous reactor based on MCM-41. Mol Catal B: Enzym 26: 209-217.[Google Scholar]
  77. Gomez JL, Bastida J, Máximo MF, Montiel MC, Murcia MD, et al. (2011) Solvent-free polyglycerol polyricinoleate synthesis mediated by lipase from Rhizopus arrhizus. Biochem Eng J 54: 111-116.[Google Scholar]
  78. Yadav GD, Thorat PA (2012) Microwave assisted lipase catalyzed synthesis of isoamyl myristate in solvent-free system. J Mol Catal B: Enzym 83: 17-22.[Google Scholar]
  79. Kuperkar VV, Lade VG, Prakash A, Rathod VK (2014) Optimization and Kinetic Studies. J Mol Catal B: Enzym. J Mol Catal B: Enzym 99: 143-149.[Google Scholar]
  80. Adlercreutz D, Orellana-Coca C, Hatti-Kaul R, Adlercreutz D (2007) Stability of immobilized Candida antarctica lipase B during chemo-enzymatic epoxidation of fatty acids. Enzym Microb Technol 40: 447-451.[Google Scholar]
  81. Santos JC, Bueno T, Molgero da Ros PC, de Castro HF (2007) Lipase-catalyzed synthesis of butyl esters by direct esterification in solvent-free system. J Chem Technol Biotechnol 82: 956-961. doi: 10.1002/jctb.1780. [View Article][Google Scholar]
  82. Bezbradica D, Mijin D, Siler-Marinkovic S, Knezevic Z (2007) The effect of substrate polarity on the lipase-catalyzed synthesis of aroma esters in solvent-free systems. J Mol Catal B: Enzym 45: 97-101.[Google Scholar]
  83. Sorour N, Karboune S, Saint-Louis R, Kermasha S (2012) Enzymatic synthesis of phenolic lipids in solvent-free medium using flaxseed oil and 3,4-dihydroxyphenyl acetic acid. Process Biochem 47: 1813-1819.[Google Scholar]
  84. Bezbradica D, Mijin D, Siler-Marinkovic S, Knezevic Z (2006) The Candida rugosa lipase catalyzed synthesis of amyl isobutyrate in organic solvent and solvent-free system: A kinetic study. J Mol Catal B: Enzym 38: 11-16.[Google Scholar]
  85. Sun J, Yu B, Curran P, Liu SQ (2012) Lipase-catalysed transesterification of coconut oil with fusel alcohols in a solvent-free system. Food Chem 134: 89-94. [Google Scholar]
  86. Véras IC, Silva FAL, Ferrão-Gonzales AD, Moreau VH (2011) One-step enzymatic production of fatty acid ethyl ester from high-acidity waste feedstocks in solvent-free media. Bioresour Technol 102: 9653-9658. doi: 10.1016/j.biortech.2011.08.012. [View Article] [PubMed] [Google Scholar]
  87. Sun S, Song F, Bi Y, Yang G, Liu W (2012) Solvent-free enzymatic transesterification of ethyl ferulate and monostearin: Optimized by response surface methodology. J Biotechnol 164: 340-345. doi: 10.1016/j.jbiotec.2013.01.013. [View Article] [PubMed] [Google Scholar]
  88. Chaibakhsh N, Rahman MBA, Abd-Aziz S, Basri M, Salleh AB, Rahman RNZRA (2009) Optimized lipase-catalyzed synthesis of adipate ester in a solvent-free system. J Ind Microbiol Biotechnol 36: 1149-1155. [Google Scholar]